St. Mary’s College of Maryland Office of Public Safety is responsible for gathering and publishing information required by the Jeanne Clery Campus Safety Act. Questions regarding any of the information contained in the college’s annual security report may be directed to Deputy Chief Christopher Coons at (240) 895-4911 or ccoons@smcm.edu
The Clery Act requires that the College annually publish statistical information regarding certain crimes reported to the Office of Public Safety, Title IX, Office of Student Conduct, and other faculty and staff identified as a Campus Security Authority. Crime statistics are also requested from local law enforcement agencies.
Printed copies of the report are available in the Public Safety Office. If you would like to request a Printed Copy be mailed to you please contact the Office of Public Safety at 18952 East Fisher Rd. St. Mary’s City, MD 20686.
2025 ANNUAL SECURITY AND FIRE SAFETY REPORT
2025 Annual Security and Fire Safety Report
This link will download a PDF version of the report. This version has been checked for text to speech compatibility, however, for an alternative text format, please contact adasupport@smcm.edu
As Chief of Campus Police, it is my privilege to present the Annual Security and Fire Safety Report for St. Mary’s College of Maryland. This report reflects our unwavering commitment to providing a safe, secure, and supportive environment for every member of our campus community.
Safety is a shared responsibility. While our Public Safety team works tirelessly patrolling campus, responding to calls, conducting safety education, and maintaining readiness for emergencies, true safety is achieved when each student, faculty, staff member, and visitor takes an active role. This includes being aware of your surroundings, reporting suspicious activity, and familiarizing yourself with the safety resources available to you.
In this report, you will find important information about crime statistics, fire safety procedures, emergency response protocols, and the many services we provide. Transparency is one of our core values, and we believe that by sharing this information openly, we empower our community to make informed decisions and engage in proactive safety practices.
I encourage you to read this report carefully, participate in our safety programs, and reach out to the Office of Public Safety with questions, concerns, or suggestions. Together, we can uphold the culture of safety and mutual respect that makes St. Mary’s College a remarkable place to live, learn, and work.
Stay safe and stay engaged,
Dr. Felix Martinez
Chief of Campus Police
SMCM Office of Public Safety
This document is provided in compliance with the Jeanne Clery Campus Safety Act (Clery Act) and the Higher Education Opportunity Act (HEOA). These two acts along with periodic updates and reauthorizations mandate that institutions of higher education provide specific information. The information in this report includes policies, crime statistics for the previous 3 years, fire statistics for the previous 3 years, safety tips, emergency phone numbers and an overview of some of the programs offered by St. Mary’s College of Maryland (the College). The annual statistics are prepared by collecting crime data from the College’s Office of Public Safety, the Office of Student Affairs, and other Campus Security Authorities. In addition to information provided by on-campus reporters, the Office of Public Safety also requests crime statistics for specified geographic locations from local law enforcement agencies. After the crime statistics are compiled, they are included in this Annual Security and Fire Report and submitted to the Department of Education. This report includes crime statistics from January 1, 2022 to December 31, 2024.
St. Mary's College of Maryland’s Office of Public Safety provides campus safety and security for the College.
Full time Campus Police Officers, full and part-time Public Safety Officers, along with full and part-time trained dispatchers, provide a variety of services to the College community on a 24-hour basis. The Office may employ and train students to perform dispatch services to supplement agency operations.
It is the mission of the Office of Public Safety to create a safer and more harmonious community through a holistic approach that prioritizes community policing, cultural competence, emotional intelligence, and procedural justice. We are committed to building strong and meaningful relationships with the community we serve, working collaboratively with students, faculty, staff, and other stakeholders to identify and address public safety concerns effectively. Our community policing initiative aims to foster trust, open communication, and mutual respect, empowering everyone to play an active role in enhancing public safety.
The Office of Public Safety consists of both Sworn Campus Police Officers and Non-Sworn Public Safety Officers. Sworn Campus Police Officers are sworn Law Enforcement Officers under the Maryland Special Police Commission Act. Campus Police Officers have the authority to detain and arrest on the property of St. Mary’s College of Maryland. Public Safety Officers do not have the authority to arrest but do have the authority to detain.
The Office of Public Safety works in collaboration with local law enforcement agencies when it receives reports of criminal activity.
The Office of Public Safety derives its enforcement authority from Maryland Law, the Maryland Education article, and the Board of Trustees. All Campus Police Officers enforce the policies of St. Mary's College of Maryland as well as Local, State and Federal Law.
The official patrol jurisdiction of the Office of Public Safety is:
- Mary's College of Maryland Property
- Historic St. Mary’s City Property
- Trinity Church
Property Public roads:
- Maryland Route 5 also known as Point Lookout Road (from 17340 Point Lookout Road to Bauer Road)
- Maryland Route 584 also known as Trinity Church Road and Old State House Road
- Mattapany Road (from Maryland Route 5 to 48010 Mattapany Road)
- Rosecroft Road (from Maryland Route 5 to Lucas Cove Road)
- Lucas Cove Road (from Rosecroft Road to Dutchmans Drive)
Campus Police Officers are uniformed in navy blue battle dress uniform (BDU) pants, a navy-blue patrol duty uniform (PDU) shirt, and a navy blue external ballistic vest carrier with badge and nameplate attached. Campus Police Officers are armed with department issued firearms. Public Safety Officers are uniformed in navy blue battle dress uniform (BDU) pants, a French blue uniform shirt, and a French blue external ballistic vest carrier with badge and nameplate attached. Public Safety Officers do not carry firearms. Both Campus Police and Public Safety officers are trained in the use of and carry the following defensive tools on their person: expandable batons, defensive chemical spray, and handcuffs.
Campus Police Officers must complete all training requirements set forth by the Maryland Police and Correctional Training Commission as well as training required by Public Safety Policy.
Both Campus Police and Public Safety Officers participate in and must successfully complete an initial field training program for up to 6 weeks. Additional internal training as a department as well as training with other law enforcement agencies regionally is conducted on an ongoing basis.
St. Mary's College of Maryland’s Office of Public Safety maintains a close working relationship with local law enforcement agencies including the St. Mary’s County Sheriff’s Department, Maryland State Police Leonardtown Barracks, Maryland Department of Natural Resources Police, the Maryland State Fire Marshal, and the United States Coast Guard. The agencies listed above have law enforcement jurisdiction on the St. Mary’s College of Maryland campus and/or public property adjacent to the campus. The Office of Public Safety cooperates fully with federal, state and local law enforcement agencies in cases involving both on-campus and off-campus jurisdiction. This includes assisting with investigations, training, and sharing of information and resources.
The Office of Public Safety and the St. Mary’s County Sheriff’s Department have a Memorandum of Understanding which formalizes the relationship for investigating alleged criminal activity, sharing patrol, providing additional resources, training, and other law enforcement related activities. St. Mary’s College of Maryland may hire St. Mary’s County Sheriff’s Deputies to provide addition security for events.
Anyone who is involved in an emergency situation, or who is the victim of a crime or witnesses any criminal activity should notify the Office of Public Safety as soon as possible by dialing (240) 895-4911 or x4911 from any on campus phone, the Campus Shield mobile app, or using one of the emergency blue light phone call boxes.
Upon receiving a report of a crime or emergency, the dispatcher will log information such as, but not limited to the name and contact information of the person making a report, type of crime or emergency, and location into a computer aided dispatch system. The dispatcher will then dispatch an Officer to the location. The Officer will make contact with the person making a report and gather the facts of the incident. Once the facts are documented, an investigation will begin, if appropriate. The Office of Public Safety will notify local law enforcement to assist if the need arises, at the discretion of the Director of Public Safety, or if the victim of a crime requests assistance in contacting local law enforcement. If appropriate, the Office of Public Safety will complete a written incident report. Reports involving alleged violations of college policies or Maryland law committed by students will be referred to the Office of Student Conduct for review.
Off-campus crimes may be reported to the St. Mary’s County Sheriff’s Office by calling (301) 475-8008 or the Maryland State Police Leonardtown Barracks at (301) 475-8955. In emergency situations, law enforcement agencies or fire and medical services can be reached by dialing 911.
Additionally, crimes involving sexual misconduct including sexual violence, sexual assault, relationship violence, sexual exploitation, or stalking may be reported directly to The Office of Title IX Compliance and Training by phone at (240) 895-4195 or x4195 from any campus phone, in person at the Lucille Clifton House, or by email at titleix@smcm.edu
The Office of Title IX Compliance and Training is responsible for overseeing the College’s response to all reports of sexual misconduct including sexual harassment, sexual violence, sexual assault, sexual exploitation, stalking, and relationship violence in the St. Mary’s College of Maryland community. The Title IX Coordinator along with the Deputy Coordinators are trained in College policies and procedures as well as relevant state and federal laws and are available to advise any individual, including complainants, respondents, or third parties about the College’s policy, options, and resources. The Office of Title IX Compliance and Training is also responsible for training, prevention, and education efforts and periodic reviews of climate and culture. The Title IX Coordinator and Deputy Coordinators are assisted by members of the Title IX Team.
ADDITIONAL RESOURCES
St. Mary’s College of Maryland strongly encourages all victims or witnesses to report all crimes to the Office of Public Safety in an accurate or prompt manner when the victim elects to or is unable to make such report. Public Safety can be contacted at (240) 895-4911 or x4911 from an on-campus phone.
The College also provides additional resources for victims to report crimes. Reports to the Office of Public Safety, the Office of Title IX Compliance and Training, Office of Student Conduct, Dean of Students, or any other Campus Security Authority will be evaluated for a Timely Warning and included in the annual reported crime statistics.
Office of Student Conduct
Glendenning Hall 150
(240) 895-4207
The Office of Student Conduct coordinates all on-campus hearings for violations of the Student Code of Conduct except for violations of the Policy against Sexual Harassment which are handled through the Office of Title IX Compliance and Training. Students can report incidents directly to the Student Conduct Officer if they desire to pursue a student conduct hearing. The Student Conduct Officer can also connect students to on- and off-campus resources.
Vice President for Student Affairs
Calvert Hall Office 222
(240) 895-4208
The Office of the Vice President for Student Affairs oversees, Public Safety, Counseling Services, Health Services, Center for Career and Professional Development, and the Dean of Students. The VP for Student Affairs can provide options and resources for students as well as assist with a variety of accommodations.
Dean of Students
Calvert 220
(240) 895-4208
The Dean of Students reports directly to the Vice President for Student Affairs and oversees Residence Life, Student Activities, Orientation and the Office of Student Conduct. The Dean of Students can provide options and resources for students as well as assist with a variety of accommodations.
The St. Mary's College of Maryland Office of Public Safety maintains a log of all crimes and fires reported to the college. A log containing the previous 60 days of crimes and fires reported is available to view at the Public Safety Office or www.smcm.edu/publicsafety/daily-crime-and- fire-log.
Daily Crime and Fire logs beyond 60 days are archived and available to view upon request. Questions about the log or requests to view the archive can made by contacting Assistant Director Christopher Coons at ccoons@smcm.edu or 240-895-4911.
Some individuals may prefer to report crimes to college employees or offices other than Public Safety. The Clery Act recognizes certain college officials and offices as being a “Campus Security Authority” (CSA).
The Clery Act defines a CSA as being an “official of an institution who has significant responsibility for student and campus activities, including, but not limited to, student housing, student discipline, and campus judicial proceedings.” An official is defined as “any person who has the authority and the duty to take action or respond to particular issues on behalf of the institution. CSAs include but are not limited to the following individuals:
- A member of campus police or campus safety/security responsible for campus security.
- An individual who has responsibility for campus security but does not constitute a police or security department (for example, monitoring the entrance to a building).
- An individual or organization specified in the institution’s security policy as an individual or organization to which students and employees should report criminal offenses.
- Officials with significant responsibility for student and campus activities.
These positions at SMCM are listed as CSAs:
- All Public Safety Staff
- Dean of Students and Staff
- Student Conduct
- Title IX Coordinators
- Residence Life Staff
- Athletics Staff (Athletic Director, Coaches, Assistant Coaches, Trainers)
- Advisors to Student Clubs or Organizations
- Human Resources Staff
- Advocates in the Wellness Center
- Orientation Leaders
- Other Staff or Faculty as Determined by College
These positions at SMCM are not listed as CSAs:
- Physical Plant Staff
- Food Service Staff
- Faculty who do not advise a student club or organization
- Clerical Staff in most cases
St. Mary’s College of Maryland requires that any CSA who receives a report of a crime must immediately report the incident to the Office of Public Safety.
CSAs receive Clery Act training annually.
The St. Mary’s College of Maryland Policy on Sexual Misconduct provides for Voluntary Confidential Reporting options for the purposes of Title IX compliance. However, under the Clery Act, federal law requires some individuals be identified as Campus Security Authorities or CSAs. The decision to identify these individuals as CSAs is made by the Department of Education guidelines or by St. Mary’s College of Maryland. CSAs are required to report to the Office of Public Safety certain information on crimes reported to them. Personally identifying information on persons involved in a crime can be withheld from the CSA report at the request of the victim. CSAs are required to provide the following information to the Office of Public Safety about all crimes and incidents that were reported to them:
- What crime occurred
- Where the crime occurred
- When the crime occurred
- When the crime was reported to the CSA
This information must be provided to the Office of Public Safety by CSAs in a timely manner so that it can be reviewed for a possible Timely Warning Notice and so that the reports can be included in the annual crime statistics.
Individuals identified by the College as voluntary confidential reporting options may also be required to provide data on reported crimes of sexual misconduct to the Title IX Coordinator.
PROFESSIONAL AND PASTORAL COUNSELORS
When acting within the scope of their employment, professional and pastoral counselors are not considered to be Campus Security Authorities and are not required to report crimes for inclusion into the annual disclosure of crime statistics. Accordingly, professional and pastoral counselors are confidential resources and may not disclose information shared with them, unless there is an immediate danger to self or others or a suspicion of child abuse. If appropriate, professional counselors may inform persons being counseled of the procedures to report crimes on a voluntary (not confidential) basis for inclusion into the annual crime statistics and may assist the person in reporting. Professional and Pastoral counselors are not required to provide information for timely warning determination.
A “professional counselor” is a person whose official responsibilities include providing mental health counseling to members of the institution’s community and who is functioning within the scope of the counselor’s license or certification. This definition applies even to professional counselors who are not employees of the institution but are under contract to provide counseling at the institution.
A “Pastoral counselor” is a person who is associated with a religious order or denomination, is recognized by that religious order or denomination as someone who provides confidential counseling and is functioning within the scope of that recognition as a pastoral counselor.
St. Mary’s College of Maryland does not currently have any recognized “pastoral counselors.”
CONFIDENTIAL REPORTING OPTIONS
The following are available voluntary confidential reporting options:
Counseling and Psychological Services:
(240) 895-4289
Counseling Services has professionally trained clinicians to offer advocacy, support, therapy, and guidance. Counselors are available to provide advocacy to students and connect them to other resources on and off campus. Any names and information shared with a counselor will not be shared with any other campus office/personnel except when there is an immediate danger to self or others or a suspicion of child abuse.
PURPOSE AND SCOPE
The purpose of this directive is to provide clear guidelines for the issuance of Timely Warnings in accordance with the Jeanne Clery Act (Clery Act).
POLICY
St. Mary's College of Maryland may issue a Timely Warning to the College community whenever a report of a Clery reportable crime, Hazing, or other serious crime is reported to the Office of Public Safety, a Campus Security Authority or the local police if the incident presents a serious or ongoing threat. The Director of Public Safety or his/her designee is responsible for writing the content of the Timely Warning Notice and distributing it to the campus community. Approval for dissemination from other campus departments is not required.
DEFINITIONS
- Timely Warning: The Clery Act requires all colleges and universities to alert the campus community to certain crimes that may represent a serious or ongoing threat to the safety of students, employees, or visitors in a manner that is timely and will aid in the prevention of similar crime.
- Clery Reportable Crimes: Crimes that are reported to Campus Security Authorities or local police and are committed on college reportable geography. Clery reportable crimes are:
- Criminal Homicide, including Murder, Non-negligent Manslaughter and Manslaughter by Negligence; Sexual Assault, including Rape, Fondling, Incest and Statutory Rape; Robbery; Aggravated Assault; Burglary; Motor Vehicle Theft; and Arson.
- Hate Crimes include any of the above-mentioned criminal offenses and any incidents of Larceny-Theft, Simple Assault, Intimidation, or Destruction/Damage/Vandalism of Property that were motivated by bias.
- Violence Against Women Act (VAWA) Offenses include incidents of Domestic Violence, Dating Violence and Stalking; and
- Arrests and Referrals for Weapons Law, Liquor Law and Drug Law violations.
- Hazing: Any act which meets the definition of hazing under Federal, State, Local law and/or College Policy.
- Other Serious Crime: The College, in its discretion, may issue timely warnings for other crimes it deems pose a serious or ongoing threat to the safety of students, employees, or visitors regardless of whether it is a Clery Reportable Crime.
- Campus Reportable Geography: Any properties owned or controlled by the college or any public property adjacent to and accessible from the campus. Crimes that occur outside of the Clery reportable geography of the college may be considered for a timely warning if they may pose a serious or ongoing threat to the campus community.
- Campus Security Authority: A Clery Act specific term that encompasses four groups of individuals and organizations associated with an institution:
- A campus police department or a campus security department.
- Any individual or individuals who have responsibility for campus security but who do not constitute a campus police department or a campus security department.
- Any individual or organization specified in an institution's statement of campus security policy as an individual or organization to which students and employees should report criminal offenses.
- An official of an institution who has significant responsibility for student and campus activities.
- Pastoral or Professional Counselor: When acting within the scope of their employment professional and pastoral counselors are not considered to be Campus Security Authorities and are not required to report crimes. Therefore, reports to professional or pastoral counselors may not result in the issuance of a timely warning.
DECISION TO ISSUE
All decisions on whether or not a Timely Warning is issued shall be made on a case-by-case basis, considering the facts surrounding a crime including:
- The nature of the crime.
- The continuing danger or threat to the campus community.
- The amount of time that has elapsed between the occurrence and report.
- Whether the identity of the offender(s) is known.
- The possible risk of compromising law enforcement efforts.
The decision shall be made by the Director of Public Safety or his/her designee.
A Timely Warning will be issued as soon as pertinent information is available and within a reasonable amount of time.
DETERMINING THE CONTENT OF THE TIMELY WARNING
The content of the timely warning is intended to enable members of the campus community to protect themselves, and may include, but will not necessarily be limited to:
- A succinct statement of the incident including the date, time, general location and nature of the reported crime(s);
- Possible connection to previous incidents;
- A physical description of the suspect(s);
- A photo or composite drawing of the suspect(s);
- Other relevant and important information about the crime(s);
- Actions taken by the Office of Public Safety and/or law enforcement officials in response to the crime(s);
- Information on crime prevention, personal safety or other community safety resources; and
- How to contact the Office of Public Safety regarding the crime(s).
- Timely warning notices will never include the name or personal information of the victim.
The amount of information included in a timely warning depends on the circumstances of the reported crime and may exclude certain information that could compromise active law enforcement efforts.
DISSEMINATION OF TIMELY WARNINGS
All timely warning notices will be distributed to the entire campus community. The following methods may be utilized to distribute Timely Warnings:
- Official College email
- Flyers posted in buildings (flyers will be removed 10 calendar days after posting)
- Public Safety Website (posts will be removed from the website after 10 calendar days)
The College will notify the larger community if/when necessary, through the local media outlets working with the College Office of Advancement and local public safety agencies.
SEAHAWK ALERTS
St. Mary’s College of Maryland will utilize the SEAHAWK ALERT emergency notification system to immediately notify the campus community upon the confirmation of a significant emergency or dangerous situation involving an immediate threat to the health or safety of students and/or employees occurring on the campus unless the notification will, based on professional judgment, compromise efforts to assist a victim or to contain, respond to or otherwise mitigate the emergency. The college may evacuate one or more campus buildings or the entire campus in certain situations.
The Office of Public Safety will confirm that there is a significant emergency or dangerous situation on or near the campus. The Director of Public Safety may confer with the Vice President for Student Affairs to determine the segment or segments of the campus community to receive a notification. The Director of Public Safety may confer with the Vice President for Student Affairs and the Assistant Vice President of Integrated Marketing and Strategic Communications to determine the content of the notification. The campus community or affected portion thereof will be notified of situational updates via text, email, social media, or public address system as deemed appropriate.
If a confirmed significant emergency or dangerous situation involving, an immediate threat to the health or safety of students or employees occurs on campus, the college will, without delay, and taking into account the safety of the community, determine the content of the notification and initiate the SEAHAWK ALERT emergency notification system., unless issuing a notification will, in the professional judgment of responsible authorities, compromise efforts to assist a victim or to contain, respond to, or otherwise mitigate the emergency.
The Director of Public Safety or his/her designee, will determine the most effective method to notify the campus community.
SEAHAWK ALERT emergency notifications will be disseminated using one or more of the following methods:
- Text Messaging
- Official College Email
- College Web Site
- Social Media
- Siren and Public Address System
The college will test the emergency notification systems at least on an annual basis. Tests are regularly scheduled drills, exercises, and appropriate follow- through activities, designed for assessment and evaluation of emergency plans and capabilities that may be announced or unannounced. The college will publicize the description of the exercise including the date, time, and whether it was announced or unannounced.
In the event an emergency notification is sent to the campus community, a timely warning may not be issued.
To sign up to receive SEAHAWK ALERT text messaging download the “campusshield” mobile app and complete the registration. To receive text messages without the app visit: https://www.smcm.edu/publicsafety/seahawk-alerts/
EVACUATIONS, LOCKDOWNS, AND TAKING SHELTER
GENERAL INFORMATION
The SMCM Office of Public Safety is responsible for all law enforcement and campus security activities, including controlling the flow of traffic. The Director of Public Safety works with the campus Emergency Response Team (ERT), to determine if an evacuation, lockdown or shelter in place is necessary and the scope of the situation. Evacuations, lockdowns or shelter in place orders may include all or portions of buildings, specific areas of the campus or the entire campus depending upon the nature of the emergency. In the event of a campus wide evacuation, the College will be supported by the St. Mary’s County Emergency Services and Technology Office and the St. Mary’s County Sheriff’s Office to ensure safe egress.
The Office of Public Safety will establish and ensure staffing of traffic control points that are considered necessary. They will also maintain access control and security for the affected areas.
In the event of a campus wide evacuation, lockdown or shelter in place, the ERT in cooperation with the President of the College, will determine when the emergency is over and the campus is open. This information will be disseminated using all appropriate and available methods of communication.
EVACUATIONS
“Evacuate” is the term used when it is necessary to vacate a specific building(s) and/or area of the campus. Occupants in the affected area will be required to leave the building and/or area as quickly and calmly as possible.
Reasons for an Evacuation:
The reasons the College may require an evacuation include but are not limited to:
- Fires and/or fire alarms
- Severe weather events
- Hazardous material spills
NOTIFICATION
The campus community will be notified to evacuate via all appropriate and available methods of communication including:
- SEAHAWK ALERTS
- Fire Alarms
- Public Address Systems
- Campus email
Required Action:
Evacuation may be required due to hazardous materials spills/releases that do not involve a campus facility such as a transportation accident. An assessment by on-scene personnel will determine the appropriate area and populations to be considered for evacuation. Follow the instructions of responding emergency personnel.
Residence hall and academic building evacuation processes are listed in the Emergency Resource Guide on the Public Safety website and in the Campus Shield mobile app Safety Resources.
https://www.smcm.edu/publicsafety/emergencies/evacuations/
When the all clear signal is given the emergency is resolved. Classes, if in session and affected, will resume at the nearest class time period.
If someone is in need of assistance and you are able, please help in any way you can.
LOCKDOWN / SHELTER IN PLACE
The College has the ability to secure buildings in the event of an emergency. The buildings will be secured remotely via the CS Gold system and/or manually. Residence halls are secure 24/7. In the event of a Lock-down/Shelter in Place order, do not leave the building you are in until an all clear announcement is given by College authorities or local law enforcement.
Additional information can be found at: https://www.smcm.edu/publicsafety/emergencies/evacuations/
TAKE SHELTER
“Take shelter” will be the term used when it is necessary to allow access to buildings on campus in the case of an emergency requiring persons to shelter from adverse external conditions. Buildings will be sources of refuge and should be allowed open access.
St. Mary's College of Maryland does not have any officially recognized non-campus student organizations or officially recognized non-campus student organizations housing facilities. St. Mary’s College of Maryland does not own or operate non-campus housing facilities.
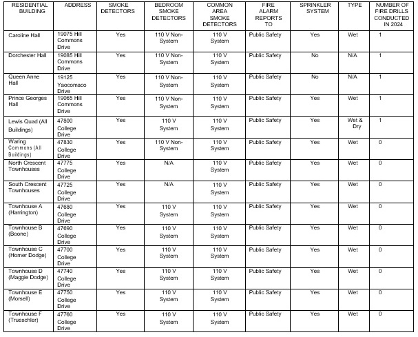
RESIDENTIAL FACILITIES
All traditional residence halls and Waring Commons are equipped with card-access control. The card-accessed buildings are locked 24 hours a day, seven days a week, allowing access only to the current building occupants. Public Safety Officers make periodic security patrols within the halls on a 24-hour basis. The building access systems are inspected and tested on a regular basis, and malfunctions are given priority for repair. Residents living in the Lewis Quad suites are issued keys that operate the outside entry doors and their assigned bedroom doors. Residents living in the Townhouses are issued keys which operate the outside entry doors.
Residents are strongly urged to keep the doors locked to prevent theft, unwanted false fire alarms, and other problematic behavior.
Residents are expected to comply with all residence and guest policies, to use available security locks, and to not prop locked doors open, or to allow entrance to uninvited people. Each residential staff office is open from 8 pm until midnight from Sunday to Thursday and 9 pm until 2 a.m. on Fridays and Saturdays and managed by trained and experienced student staff members. Information about security at individual halls is available through the Office of Residence Life.
All St. Mary’s College students and employees are issued photo ID cards and are required to carry them while on campus.
NON-RESIDENTIAL FACILITIES
Non-Residential facilities are open to students, employees and the public during their business hours (which vary by building). All Non-Residential facilities are checked and locked outside of business hours.
Students with a need to enter a locked building must do so by obtaining permission from a faculty or staff member. The faculty or staff member giving permission must submit a list of students needing access to the Office of Public Safety and contact the Office of Information Technology for one card access. Officers securing the building will ask any student without permission to leave the building. All Faculty and Staff are strongly encouraged to secure their offices and labs when not in use.
St. Mary's College of Maryland Office of Planning and Facilities is responsible for the development and operation of campus buildings and grounds. They keep the buildings, classrooms and grounds clean and comfortable and manage the physical development of the campus. The Office of Public Safety staff regularly patrols the campus and reports any repair needs (malfunctioning lights or other unsafe conditions) to the Physical Plant. All members of the campus community are encouraged to directly report to the Physical Plant problems with facilities or grounds. Employees should use the College’s EPAC system to report non- emergency maintenance issues. For Maintenance emergencies the Physical Plant can be reached at 240- 895-4287 and is open Monday through Friday 8am - 5pm. After hours maintenance emergencies can be reported to the Office of Public Safety at 240-895-4911.
Lost keys should be reported to the Office of Public Safety at 240-895-4911.
Anyone who suspects that a St. Mary’s College of Maryland student who resides in on-campus housing is missing must immediately contact the Office of Public Safety at (240) 895-4911. If a student is reported missing to someone other than the Office of Public Safety, the person receiving the report must immediately refer the report to the Office of Public Safety.
The Office of Public Safety will begin an investigation in order to determine whether the student is missing. Once the Office of Public Safety investigates and determines that the student is missing, the Office of Public Safety will notify the St. Mary’s County Sheriff’s Department and the student’s emergency contact within 24 hours after the student is determined to be missing. Contacts to local law enforcement agencies will be made whether or not the missing student has designated a contact person.
The Office of Residence Life will request that all new students residing in a college-owned residence provide, on a voluntary basis, emergency contact information and a person to contact if the student is reported missing.
Returning students living in on-campus housing will also be given the opportunity each year to provide emergency contact information and a person to contact if the student is reported missing. A student may identify the same individual for both purposes or may choose different individuals as their emergency contact and person to contact if the student is reported missing. The College may contact both the emergency contact and the person to contact if the student is reported missing.
Contact information provided by the student will be registered confidentially and will be accessible only to authorized College officials, such as the Vice President for Student Affairs, Dean of Students, and the Director of Public Safety.
Students’ designated contacts may be released to local law enforcement officers in furtherance of a missing person investigation. The Dean of Students will notify the designated contact(s) within 24 hours after the student is determined to be missing. If a student is under the age of 18 and not emancipated, the Dean of Students must notify a custodial parent or guardian within 24 hours of the determination that the student is missing in addition to notifying any additional contact person designated by the student. Additionally, the Office of Public Safety will notify local law enforcement agencies within 24 hours of the determination that the student is missing, unless a local law enforcement agency is the entity that determines that the student is missing.
Safety Education and Safety programs are designed to inform students and employees about campus safety and security procedures and practices and to encourage students and employees to be responsible for their own security and the security of others.
NEW STUDENT MEETINGS
During new student orientation Public Safety Officers meet with incoming students and present information on safety and crime prevention as well as additional information on college policies.
SAFETY ESCORT PROGRAM
Public Safety will escort any student from one campus location to another if they contact the Office of Public Safety at 240-895-4911 or x4911and report feeling unsafe between the hours of dusk and dawn. These escorts may be given in a Public Safety vehicle or on foot by a uniformed Public Safety Officer.
PROPERTY REGISTRATION PROGRAM
Any member of the College community who has items of value on campus, including but not limited to laptops, bicycles, etc. can bring the item to the Office of Public Safety and have the item(s) registered. The Office of Public Safety will engrave the owner’s driver’s license number onto the item and keep a record of the item(s). The property registration program will not help prevent theft of an item but will assist Public Safety or local law enforcement in identifying the owner if it is recovered.
RAPE AGGRESSION DEFENSE (RAD) TRAINING PROGRAM
The Office of Public Safety established a Rape Aggression Defense or RAD training program for the campus community. Information on upcoming classes will be shared through Inside SMCM. If you have questions about the program, you can call 240-895-4911 and speak to Sgt. Gerald Sellers.
In addition to community education and programs, the Office of Public Safety seeks proactive solutions to crime and safety threats.
Public Safety Officers work closely with Residence Life Staff who receive training regarding confrontation, assertiveness, College rules and regulations, and the Code of Student Conduct.
Programs for students are offered periodically regarding such issues as personal safety, rape and sexual assault, and protection of personal property. Students are informed not only of the policies and procedures regarding these issues, but also various resources for help, including Counseling Services, Health Services, Public Safety, Title IX, and community services. Other Crime Prevention and Safety Programs held occasionally around campus include Alcohol and Drug awareness, Fire Safety, Internet Safety, and Travel Safety.
Maryland law states that: (1) It is unlawful for any minor (a person under age 21) to possess or consume alcoholic beverages; (2) It is unlawful for any minor to misrepresent or lie about his/her age in order to obtain alcoholic beverages; (3) It is unlawful for any person to obtain alcoholic beverages on behalf of a minor; (4) It is unlawful for any person to consume alcoholic beverages in an open outside area unless authorized to do so by proper officials; (5) A person may not be intoxicated and endanger the safety of another person or property or be intoxicated and cause a public disturbance.
It is the responsibility of all faculty, staff, and students at St. Mary’s College to uphold the conditions of this state law. The unlawful use, possession, or distribution of alcohol on College property or as any part of College activities is prohibited and will result in disciplinary action, up to and including expulsion. Please refer to the College’s medical amnesty and good samaritan policy where certain violations may be granted amnesty. The College also promotes an active, healthy, social life on campus and accommodates groups that request College facilities for events where alcohol is appropriate.
The Office of Public Safety and the dean of students’ staff is responsible for interpreting and enforcing the following campus alcohol policy:
- No individual (absent an authorized exception under section VI herein), regardless of age, may consume alcoholic beverages in public areas on the campus, such as the lounges, hallways of the residence halls, patios of townhouses, athletic fields, and other facilities and grounds.
- No individual, regardless of age, may be intoxicated and cause a disturbance and/or endanger the safety of him/herself, another person, and/or property.
- The sponsors of student events (dances, concerts, etc.) are responsible for keeping the event alcohol-free.
- Individuals or groups sponsoring formal or informal events off-campus are responsible for upholding the Maryland alcohol law.
- Resident students of legal drinking age may possess and consume alcoholic beverages in the privacy of their rooms or townhouses. All alcohol must be kept within the possession of a student of legal drinking age (“of-age”). Students who are 21 years of age or older may not offer or provide alcohol to those who are underage, including roommates. It is assumed that alcohol possessed by of-age students is for their personal use and for limited distribution to others who are of age to consume alcohol. Students who are of age and who choose to drink alcohol are strongly encouraged to drink responsibly and in moderation. Kegs and other similar multi-liter containers are prohibited.
- No alcoholic beverages will be allowed at any event on campus unless: (1) The event is sponsored by the College for seniors, alumni, faculty-staff receptions, or any outside group; and (2) The event is held in a controlled space, such as the Alumni Lodge. Requests to sponsor such events must be made through the Events Office and must be approved by the dean of students. College budget accounts (including SGA funds) are by definition State dollars and may not be used to purchase alcohol or provide adult beverage service in any circumstance.
- Acting as a social host: A social host is any individual who provides a location for and/or facilitates opportunities for others to violate the College Alcohol Policy or other gathering-related policies. More specifically, a social host is an individual who provides or shares alcohol with an underage guest in his/her residence or who hosts one or more guests in his/her residence who violate the College Alcohol Policy or other gathering-related policies (e.g., quiet hours, fire code, damage, failure to comply). Additional consequences are in place for those who make the choice to host events in their residence where a violation of College policy takes place. Hosts who provide a location for others to engage in policy violations assume a greater level of responsibility for these incidents. If a student is found responsible for acting as a social host as described above, the minimum fine for the violation begins at $100 for a first offense and increases up to $250 for subsequent violations (see Minimum Expected Sanctions for more information). Fines will be assessed per social host and will not be divided among the room/apartment/townhouse residents.
Legal sanctions under state law: It is illegal in the state of Maryland for any person under 21 to falsify or misrepresent his or her age to obtain alcohol, or to possess alcoholic beverages with the intent to consume them. It is also illegal in most situations to furnish alcohol to a person under 21, or to obtain alcohol on behalf of a person under 21. The penalty is a fine of up to $500 for a first offense, and up to $1000 for repeat offenses.
Students who are concerned about their use of alcohol or other drugs may speak with a counselor in Counseling Services for an assessment. Counseling Services are confidential and the staff therapist will recommend options for risk reduction, treatment and recovery.
Excessive alcohol use can increase the likelihood of both short-term and long-term health risks. Binge drinking increases the rick of injury, violence, alcohol poisoning, and risky sexual behavior. Long-term excessive alcohol use can lead to chronic health problems such as high blood pressure, heart disease, stroke, liver disease, and digestive problems. Students can find more information about the health risks of alcohol use at http://www.cdc.gov/alcohol/fact- sheets/alcohol-use.htm.
MEDICAL AMNESTY AND GOOD SAMARITAN P0LICY
The purpose of this policy is to increase the likelihood that medical attention is provided to students who need it due to alcohol intoxication or use of drugs by removing impediments to seeking such assistance. This policy is intended for use in isolated situations; therefore, it does not excuse or protect those who flagrantly or repeatedly violate College policy.
Good Samaritan Policy: The spirit of the Good Samaritan is that we all have an ethical responsibility to help people in need. St. Mary’s College expects that students will take an active role in protecting the safety and well-being of their peers and the College community. In order to promote this, when a student assists an individual who is intoxicated or under the influence of drugs in procuring medical assistance, that student may be granted amnesty from formal disciplinary action by the College for violating the alcohol or drug policies. The student may be required to attend an educational conference with the Dean of Students or designee to discuss the incident and his/her role in it, and may be required to complete follow-up if deemed necessary.
Medical Amnesty Policy: When a student is intoxicated or under the influence of drugs and seeks medical assistance, s/he may be granted amnesty from formal disciplinary action by the College for violating the alcohol or drug policies. Upon receiving a report that a student needs medical assistance, College staff will respond through the Office of Public Safety to obtain EMS services, and responding officials will use standard procedures for documenting information and collecting identification of all persons involved. Conduct charges will be deferred, and will be dismissed upon successful completion of an approved alcohol and/or drug intervention program, leaving the student with no disciplinary record. Failure to successfully complete an approved alcohol and/or intervention program will result in the processing of alcohol use or possession charges and, if proven, may result in more severe sanctions.
Representatives of a student organization who summon medical emergency assistance will be relieved from alcohol use or possession charges under this protocol for their personal actions. Organization charges and consideration of conduct sanctions, if necessary, may be mitigated by the actions taken by representatives.
Criteria for granting amnesty may include but is not limited to: the severity of the incident, the student’s disposition regarding the incident, whether the student has been granted amnesty in the past, and the student’s previous conduct record. Amnesty will not be granted for incidents which occur off-campus and will not extend to other conduct violations associated with the incident, including but not limited to distribution of drugs, hazing, vandalism, or sexual assault. Amnesty can only extend to College conduct processes and does not protect students from criminal or civil penalties.
Following receipt of an incident report by the Dean of Students office, the student will attend an educational conference with the Dean of Students or designee, which will serve to review the incident, the role of alcohol or drugs, and College policies. The following are examples of educational interventions that may be required for individuals who receive amnesty under this policy:
The student may be required to obtain an alcohol or drug assessment from Counseling Services or from an off-campus certified addictions counselor (e .g. Walden Sierra). If required to obtain an assessment, the student will provide a copy of the assessment report to the Dean of Students or designee. If the assessment indicates that further treatment is warranted, the program of treatment must be completed. The cost of the assessment (if any) and treatment is the responsibility of the student.
The student may be required to attend the Peer2Peer Alcohol Education Class taught by the Peer Health Educators.
Parental Notification Policy: The College notifies the parents/guardians of students whose consumption of alcohol or drugs results in the student being sent to the hospital.
STUDENT-ATHLETE ALCOHOL POLICY
The student athletes who represent SMCM are a unique segment of the student population. Each student athlete (S/A) serves as an ambassador for the College, the Athletic Department, and his/her specific sport team(s).
With the role of representing SMCM both on and off campus and in and out of season, our S/A will be held to the following standards:
- S/A under the age of 21 must obey state of Maryland laws concerning the consumption, possession and distribution of alcohol.
- S/A 21 & over must obey the state of Maryland laws regarding the consumption, possession and distribution of alcohol and the use of a motor vehicle.
- S/A who are of legal drinking age are prohibited from consuming alcohol within 48 hours prior to their intercollegiate varsity athletic contest.
- Alcohol consumption is prohibited on any athletic team trip or official team function.
This policy is in addition to those set forth in the student handbook (To the Point) and by the head coaches of our varsity athletic teams. Head coaches may apply more restrictive policies if he/she chooses, so make sure you understand what your team policies are.
The Director of Athletics and/or head coach can be informed of violations by S/A through the following offices and agencies:
- Local, state, and/or federal law enforcement agencies
- The SMCM Office of Public Safety
- Student Conduct Board
- Office of Residence Life
- S/A self-report
Violation of the Student-Athlete Alcohol Policy will result in the following department course of action(s):
- 1st Offense – Warning. Meeting with sport supervisor, head coach, and player to discuss ramifications of 2nd offense.
- 2nd Offense – 1 Game suspension to be served during the next scheduled regular season game/match/meet. Meeting with AD, head coach, sport supervisor and player to discuss ramifications of 3rd offense. Referral to counseling center
- 3rd Offense – Suspension for rest of year or next season of competition.
Any such penalties will be in addition to those imposed by the Student Conduct Board. Alcohol offenses accumulate on an annual basis. However, multiple offenses over academic years may be considered when setting penalties. Repeat violators could be subject to more severe penalties at the discretion of the Director of Athletics.
If the S/A self-reports the violation before the athletics department receives notification from the Student Conduct Board, that may be taken into account when determining the penalty and is strongly encouraged. Any suspension will be served as soon as the S/A notifies the head coach or the athletics department receives notification.
Students are expected to conform to the Federal and Maryland state laws regarding the possession of drugs and paraphernalia and the Student Code of Conduct which outlines expected standards for behavior, rights and responsibilities, student conduct policies, procedures for conduct violations, and sanctions. Included therein, and as required under Federal law (the Controlled Substances Act), marijuana possession and use on campus (even if otherwise authorized by a medical marijuana license or recreational marijuana use under Maryland law) is prohibited on campus or at any place or activity affiliated with the College.
Please refer to the College’s Medical Amnesty and Good Samaritan policy where certain violations may be granted amnesty.
The College must comply with Federal law, which prohibits the possession, use and distribution of illicit and illegal drugs, including medical and recreational marijuana, products containing THC and paraphernalia.
Specific to illicit drugs, including marijuana and THC products, the following misconduct is subject to disciplinary actions, up to and including expulsion and referral for prosecution, as provided for in this Code:
- Use, possession, or distribution of narcotics or other controlled dangerous substances, and related paraphernalia on College premises, except as expressly permitted by law and College regulations.
At the time of acceptance to the College, all new students are required to sign and return a statement acknowledging receipt of the College’s policies and regulations concerning substance abuse.
Any student convicted of violating a criminal drug statute must notify the director of financial aid if that student is receiving any form of federal financial aid (for example, Pell Grants or Federally funded loans). Conviction on any drug-related charge may result in forfeiture of federal financial aid, during the time of incarceration. Students who violate the standards of conduct shall be subject to written or verbal warning, restitution, restriction, forced relocation, work sanctions, counseling, disciplinary probation, disciplinary suspension, and/or dismissal from the College as stated in the Student Code of Rights and Responsibilities which is distributed annually to all students. The College will take disciplinary action based on reasonable available information unless the student voluntarily seeks assistance. Such action will be independent of any civil or criminal process precipitated by the same incident.
Legal sanctions under Maryland state law for possession of a controlled dangerous substance include:
| Age | Penalty | Incarceration | Fine | |
| Up to 1.5 oz | 21 and Over | No penalty | None | $0 |
| Up to 1.5 oz | Under 21 | Civil | None | $100 |
| 1.5 oz to 2.5 oz | Any | Civil | None | $250 |
| Adult Sharing (Up to 1.5 oz)* | 21 and Over | No Penalty | None | $0 |
| Public Consumption (first offense) | Any | Civil | None | $250 |
| 2.5 oz to 50 lbs. | ||||
| Over 50 lbs. | Any | Felony | 5 Years | $100,000 |
Penalties may be increased for subsequent violations.
For a complete list of controlled dangerous substances and their corresponding schedule, see Md. Criminal Law Code Ann. §§5-401- 406.
Penalties for any controlled dangerous substance other than marijuana may include: Imprisonment not exceeding 4 years, or a fine not exceeding $25,000, or both
In addition to a fine, drug education program, assessment for substance abuse disorder, and referral for substance abuse treatment may be ordered by the court if offender is under 21 years of age.
A summary of federal trafficking (distribution) penalties for substances covered by the Controlled Substances Act can be found on the Drug Enforcement Administration website at https://www.dea.gov/druginfo/ftp3.shtml.
Students who are concerned about their use of alcohol or other drugs may speak with a counselor at the Wellness Center for an assessment. Counseling and Psychological Services at the Wellness Center are confidential and the staff therapist will recommend options for risk reduction, treatment and recovery. Students can find information on the health risks of illicit drugs at http://www.drugabuse.gov/publications/finder/t/160/DrugFacts.
In accordance with the Heroin and Opioid Education and Community Action Act of 2017, all incoming students will be required to participate in heroin and opioid addiction and awareness training.
In addition, the College will obtain and store a supply of overdose reversing medication to be used in an emergency situation. Public Safety and Wellness Center personnel, as well as designated administrators, will be trained to recognize the symptoms of an opioid overdose, in procedures for administration of overdose reversing medications, and in the proper follow-up emergency procedures related to an opioid overdose. Per state law, except for any willful or grossly negligent act, campus police, or other designated personnel who have been trained in use of overdose medications and who respond in good faith to the overdose emergency of a student, may not be personally liable for any act or omission in the course of responding to the emergency.
The College will develop and implement a method for notifying parents/guardians of students of this policy at the beginning of each academic year.
STUDENT-ATHLETE DRUG POLICY
Drug use & distribution of drugs are illegal activities and as such are considered high risk behaviors for any member of society & the SMCM campus. In addition, drug use runs counter to the goals of our athletic programs as we strive to put competitive championship teams together comprised of healthy, well-conditioned, & committed college student athletes.
The student athletes who represent SMCM are a unique segment of the student population. Each student athlete (S/A) serves as an ambassador for the College, the Athletic Department, and his/her specific sport team(s).
With the role of representing SMCM both on and off campus and in and out of season, our S/A will be held to the following standards:
- All S/A must obey state of Maryland and federal laws concerning possession, distribution and use of illicit & illegal drugs.
- The S/A may be subject to criminal prosecution.
- The S/A will be required to be assessed by a member of the Counseling Center. The director of the Counseling Center will determine the appropriate course of treatment.
These policies are in addition to those set forth in the student handbook (To the Point) and by the head coaches of our varsity athletic teams. Head coaches may apply more restrictive policies if he/she chooses, so make sure you understand what your team policies are.
The Director of Athletics and/or head coach can be informed of violations by S/A through the following offices and agencies:
- Local, state, and/or federal law enforcement agencies
- The SMCM Office of Public Safety
- Student Conduct Board
- Office of Residence Life
- S/A self-report
Violation of the Student-Athlete Drug Policy will result in the following department course of action(s):
Marijuana:
- 1st Offense – Warning. Meeting with sport supervisor, head coach and player to discuss specifics of the incident and ramifications of 2nd offense. Referral to counseling center.
- 2nd Offense – Minimum 2 game suspension to be served during the next scheduled regular season games/matches/meets. Meeting with AD, head coach, sport supervisor and player to discuss specifics of the incident & ramifications of 3rd offense. Referral to counseling center
- 3rd Offense - Suspension for rest of year or next season of competition.
Hard Drugs (Heroin, Cocaine, Crack, etc.)
- 1st Offense – Minimum 3 game suspension to be served during the next scheduled regular season games/matches/meets. Meeting with AD, head coach, sport supervisor and player to discuss specifics of the incident & ramifications of 2nd offense. Referral to counseling center.
- 2nd Offense - Suspension for rest of year or next season of competition.
Any such penalties will be in addition to those imposed by the Student Conduct Board. Drug offenses accumulate on an annual basis. However, multiple offenses over academic years may be considered when setting penalties. Repeat violators will be subject to more severe penalties at the discretion of the Director of Athletics.
Any suspension will be served as soon as the S/A notifies the head coach or the athletics department receives notification.
For information on the St. Mary’s College of Maryland Drug and Alcohol Education Policy and the Biennial Review required under the Drug Free Schools and Communities act of 1989 please visit: http://www.smcm.edu/publicsafety/dfsca
Upon written request from the alleged victim of a crime of violence or non-forcible sex offense, St. Mary’s College of Maryland will disclose the results of any disciplinary proceeding conducted by the College against the alleged perpetrator of such crime or offense. If the alleged victim is deceased as a result of such crime or offense, the next of kin of such victim shall be treated as the alleged victim for purposes of this paragraph.
HAZING
COLLEGE POLICY
Any and all forms of hazing are completely prohibited at St. Mary’s College of Maryland.
Hazing Defined
Hazing is any action taken or situation created, intentionally, whether on or off campus, to produce mental or physical discomfort, embarrassment, harassment, or ridicule. Such activities may include but are not limited to the following: use of alcohol; ; creation of excessive fatigue; physical and psychological shocks; quests, treasure hunts, scavenger hunts, road trips or any other such activities carried on outside or inside the borders of the College campus; wearing of public apparel which is conspicuous and not normally in good taste; engaging in public stunts and; morally degrading or humiliating games and activities; and any other activities which are not consistent with the laws of the state of Maryland or Code of Student Conduct, or the regulations and policies of St. Mary’s College of Maryland.
Examples of Hazing
The following are examples of hazing by category. It is impossible to list all hazing activities, so this list is not intended to be all-inclusive. Each activity can be measured against the definition for each category.
Subtle Hazing
- Actions that are against accepted club or team standards of conduct, behavior and good taste. An activity or attitude directed toward a member or an act which ridicules, humiliates, or embarrasses. Examples:
- Never doing anything with the member (isolation)
- Calling a member by any demeaning name
- Imposing periods of silence on members
- Imposing demerits of any kind on members
- Writing progress reports on new members
- Requiring members to call senior team members by titles, honorifics, or salutations, etc.
- Scavenger hunts for meaningless objects
- Assigned duties for new members only
- Scaring new members with an initiation
- Deprivation of team privileges
Harassment Hazing
- Anything that causes mental anguish or physical discomfort to the member. Any activity, or activity directed toward a member, or activity which confuses, frustrates, or causes undue stress. Examples:
- Verbal abuse
- Any form of questioning under pressure or in an uncomfortable position
- Requiring members to wear ridiculous costumes or perform ridiculous activities
- Requiring only members to wait until the end or be served last
- Stunt or skit events with demeaning and/or crude skits and/or poems
- Requiring members to perform personal services such as carrying books, running errands, performing maid duties, etc.
- Requiring members to drink alcohol, perhaps to excess, causing illness or other physical problems
- Requiring members to be exposed to weather or to foods that would adversely affect physical health
Physical Hazing
- Mary’s College of Maryland, through the Athletics and Recreation Department, the Office of Student Activities, or any other designated personnel, shall issue to every group or organization under its authority, or operating on, in conjunction with its campus or school, a copy of this policy. An officer of each such group or organization, and each individual receiving a copy of this policy, shall sign an acknowledgement stating that such group, organization, or individual has received a copy of the hazing policy.
- In the state of Maryland, a person who hazes a student so as to cause serious bodily injury to the student at any school, college, or university is guilty of a misdemeanor and, on conviction, is subject to a fine of not more than $500 or imprisonment for not more than six months, or both. Consent of the student being hazed is not a defense.
- Students found responsible for hazing on or off the campus at St. Mary’s College of Maryland may face expulsion from the institution.
MARYLAND LAW
Maryland Anti-Hazing Law
- A person may not recklessly or intentionally do an act or create a situation that subjects a student to the risk of serious bodily injury for the purpose of an initiation into a student organization of a school, college, or university.
- A person who violates this section is guilty of a misdemeanor and on conviction is subject to imprisonment not exceeding 6 months or a fine not exceeding $500 or both.
- The implied or express consent of a student to hazing is not a defense under this section.
FEDERAL LAW
- Under the Act, “hazing” means any intentional, knowing, or reckless act committed by a person (whether individually or in concert with other persons) against another person or persons regardless of the willingness of such other person or persons to participate, that ˗
- is committed in the course of an initiation into, an affiliation with, or the maintenance of membership in, a student organization; and
- causes or creates a risk, above the reasonable risk encountered in the course of participation in the institution of higher education or the organization (such as the physical preparation necessary for participation in an athletic team), of physical or psychological injury including˗
(i) whipping, beating, striking, electronic shocking, placing of a harmful substance on someone’s body, or similar activity;
(ii) causing, coercing, or otherwise inducing sleep deprivation, exposure to the elements, confinement in a small space, extreme calisthenics, or other similar activity;
(iii) causing, coercing, or otherwise inducing another person to consume food, liquid, alcohol, drugs, or other substances;
(iv) causing, coercing, or otherwise inducing another person to perform sexual acts;
(v) any activity that places another person in reasonable fear of bodily harm through the use of threatening words or conduct;
(vi) any activity against another person that includes a criminal violation of local, State, Tribal, or Federal law; and
(vii) any activity that induces, causes, or requires another person to perform a duty or task that involves a criminal violation of local, State, Tribal, or Federal law.
Under the Act, “student organization” means an organization at an institution of higher education (such as a club, society, association, varsity or junior varsity athletic team, club sports team, fraternity, sorority, band, or student government) in which two or more of the members are students enrolled at the institution of higher education, whether or not the organization is established or recognized by the institution
REPORTING HAZING
All incidents of suspected hazing should be reported to the Office of Public Safety at 240-895-4911.
INVESTIGATION AND ENFORCEMNT
Upon receiving a report of suspected hazing, the Office of Public Safety will open an investigation.
At the completion of the investigation all findings will be shared with the Student Conduct Board or the Office of Human Resources, as appropriate, for review.
Students: If it is determined that there is sufficient evidence that one or more students violated the college policy, state or federal law, the student conduct board will administer a hearing to determine responsibility. All hearings and sanctions will be made following the policies of the Student Conduct Board.
Faculty/Staff: If it is determined that there is sufficient evidence that one or more members of the college faculty or staff violated the college policy, state or federal law, the Office of Human Resources will follow the policies of the Office of Human Resources.
ANTI-HAZING EDUCATION
The College is in the process of creating anti-hazing educational programs
The federal Campus Sex Crimes Prevention Act, enacted on October 28, 2000, requires institutions of higher education to issue a statement advising the campus community where law enforcement agency information provided by a State concerning registered sex offenders may be obtained. It also requires sex offenders already required to register in a State to provide notice, as required under State law, of each institution of higher education in that State at which the person is employed, carries on a vocation, volunteers services or is a student.
To access more information on the Maryland Sex Offender Registry website, please visit the Maryland's Comprehensive Registered Sex Offender Website at: https://dpscs.maryland.gov/onlineservs/socem/default.shtml
The St. Mary’s College of Maryland Policy against Sexual Harassment prohibits the crimes of:
- Domestic Violence
- Dating Violence
- Sexual Assault
- Stalking
DEFINITIONS UNDER THE VIOLENCE AGAINST WOMEN ACT (VAWA)
Dating Violence:
Violence committed by a person who is or has been in a social relationship of a romantic or intimate nature with the victim.
The existence of such a relationship shall be based on the reporting party’s statement and with consideration of the length of the relationship, the type of relationship, and the frequency of interaction between the persons involved in the relationship.
For the purposes of this definition—
- Dating Violence includes, but is not limited to, sexual or physical abuse or the threat of such abuse.
- Dating violence does not include acts covered under the definition of domestic violence.
Domestic Violence:
A Felony or misdemeanor crime of violence committed—
- By a current or former spouse or intimate partner of the victim;
- By a person with whom the victim shares a child in common;
- By a person who is cohabitating with, or has cohabitated with, the victim as a spouse or intimate partner;
- By a person similarly situated to a spouse of the victim under the domestic or family violence laws of the jurisdiction in which the crime of violence occurred; or
- By any other person against an adult or youth victim who is protected from that person’s acts under the domestic or family violence laws of the jurisdiction in which the crime of violence occurred.
Sexual Assault:
An offense that meets the definition of rape, fondling, incest, or statutory rape as used in the FBI’s Uniform Crime Reporting (UCR) program. Per the National Incident-Based Reporting System User Manual from the FBI UCR Program, A sex offense is “any sexual act directed against another person, without the consent of the victim, including instances where the victim is incapable of giving consent.”
Rape: The penetration, no matter how slight, of the vagina or anus with any body part or object, or oral penetration by a sex organ of another person, without the consent of the victim.
Fondling: The touching of the private parts of another person for the purpose of sexual gratification, without the consent of the victim, including instances where the victim is incapable of giving consent because of his/her age or because of his/her temporary or permanent mental incapacity.
Incest: Sexual intercourse between persons who are related to each other within the degrees wherein marriage is prohibited by law.
Statutory Rape: Sexual intercourse with a person who is under the statutory age of consent.
Stalking:
Engaging in a course of conduct directed at a specific person that would cause a reasonable person to—
- Fear for the person’s safety or the safety of others; or
- Suffer substantial emotional distress.
For the purposes of this definition—
- Course of conduct means two or more acts, including, but not limited to, acts which the stalker directly, indirectly, or through third parties, by any action, method, device, or means follows, monitors, observes, surveils, threatens, or communicates to or about, a person, or interferes with a person’s property.
Reasonable person means a reasonable person under similar circumstances and with similar identities to the victim.
Substantial emotional distress means significant mental suffering or anguish that may, but does not necessarily, require medical or other professional treatment or counseling.
DEFINITIONS UNDER MARYLAND LAW
Domestic Violence:
Maryland law defines domestic violence as the occurrence of one or more of the following acts between “family or household members”:
- Assault
- An act that places a person in fear of imminent serious bodily harm
- An act that causes serious bodily harm
- Rape or sexual offense
- Attempt rape or sexual offense
- Stalking
- False imprisonment, such as interference with freedom, physically keeping you from leaving your home or kidnapping you.
Dating Violence:
The State of Maryland has no Dating Violence Law.
Stalking:
Maryland law defines stalking as a malicious course of conduct that includes approaching or pursuing another where the person intends to place or knows or reasonably should have known the conduct would place another in reasonable fear:
- of serious bodily injury;
- of an assault in any degree;
- of rape or sexual offense as defined by §§ 3-303 through 3-308 of this article or attempted rape or sexual offense in any degree
- of false imprisonment; or
- of death.
“Course of conduct” means a persistent pattern of conduct, composed of a series of acts over time that shows a continuity of purpose.
Sexual Assault:
Rape
- First Degree – engaging in sexual intercourse with another without his or her consent by force, using weapons, strangling or inflicting serious physical injury, threatening with death, serious injury, or kidnapping, or committed with another’s help or during a burglary.
- Second Degree – engaging in vaginal intercourse with another 1) without his or her consent by force or threat, 2) with a mentally or physically incapacitated person (includes drunk, high, or unconscious) when the defendant knows of his or her condition, or the victim is under 14 years old and the defendant is at least 4 years older than the victim.
Sexual Offense
First Degree – engaging in a sexual act (oral or anal sex, or any object or part of one’s body penetrates the genitals or anus for sexual gratification, but not vaginal intercourse – that’s above in rape) by force, threat, or without consent while displaying a weapon, suffocating or physically injuring the victim, or threatening the victim with death, disfigurement, or serious physical injury, or committed with another’s help or during a burglary.
Second Degree – engaging in a sexual act with another by 1) force or without his or her consent, 2) with a mentally or physically incapacitated person (includes drunk, high, or unconscious) when the defendant should know of his or her condition, or 3) the victim is under 14 and the defendant is at least 4 years older than the victim.
Third Degree – includes any of the following: engaging in sexual contact (intentionally touching the victim’s or defendants genital, anal, or other private parts for sexual gratification or abuse of either person) in any of the following situations:
- Without consent while using a weapon, strangling or seriously injuring the victim, threatening the victim with death, serious injury, or kidnapping, or committed with another’s help OR
- The victim is mentally or physically incapacitated (drunk or unconscious for example) and the defendant knows of his or her condition OR
- The victim is under 14 years old and the defendant is at least 4 years older OR
- Engaging in a sexual act (i.e. oral or anal sex) or vaginal sex with a 14 or 15 year old victim by a 21 year old or older defendant, AKA statutory rape.
Fourth Degree – any of the following:
- Engaging in sexual contact without the other’s consent OR
- Engaging in a sexual act or vaginal sex with a 14 or 15 year old when the defendant is at least 4 years older OR
- Engaging in a sexual act, sexual contact, or vaginal sex with a child under 18 who at the time of the sexual activity was a student enrolled in a school where the person was in a position of authority (i.e. a principal, coach, teacher, or counselor who’s at least 21 years old, employed by the school, and was in a supervisory position over the student).
CONSENT
The state of Maryland does not have a definition of consent
St. Mary’s College of Maryland Definition of Consent
Effective Consent: Effective consent is defined as willingly, freely and knowledgably agreeing to engage in sexual conduct. Consensual sexual conduct is a mutual decision reached by all parties involved without any hint of force, threat, coercion, fraud, manipulation, intimidation, or reasonable fear of injury. Consent cannot be given if an individual is mentally or physically incapacitated (for example, due to excessive use of alcohol or drugs or a mental or physical condition).
Silence, passivity, lack of active resistance or lack of active response does not imply consent. In addition, previous participation in sexual activity does not indicate current consent to participate. Consent to one form of sexual activity does not imply consent to other forms of sexual activity.
The following are essential elements of effective consent:
- Informed and reciprocal: All parties must demonstrate a clear and mutual understanding of the nature and scope of the act to which they are consenting and a willingness to do the same thing, at the same time, in the same way.
- Mutually understandable: Communication regarding consent consists of mutually understandable words and/or actions that indicate an unambiguous willingness to engage in sexual activity. In the absence of clear communication or outward demonstration, there is no consent. Relying solely upon non- verbal communication can lead to a false conclusion as to whether consent was sought or given.
- Not indefinite: Consent may be withdrawn by any party at any time. Recognizing the dynamic nature of sexual activity, individuals choosing to engage in sexual activity must evaluate consent in an ongoing manner and communicate clearly throughout all stages of sexual activity. Withdrawal of consent can be an expressed “no” or can be based on a clear outward demonstration that conveys that an individual is hesitant, confused, uncertain or is no longer a mutual participant. Once consent is withdrawn, the sexual activity must cease immediately and all parties must obtain mutually expressed or clearly stated consent before continuing further sexual activity.
- Not unlimited: Consent to one form of sexual contact does not constitute consent to all forms of sexual contact, nor does consent to sexual activity with one person constitute consent to activity with any other person. Each participant in a sexual encounter must consent to each form of sexual contact with each participant.
- Even in the context of a current or previous intimate relationship, each party must consent to each instance of sexual contact each time. The consent must be based on mutually understandable communication that clearly indicates a willingness to engage in sexual activity. The mere fact that there has been prior intimacy or sexual activity does not, by itself, imply consent to future acts.
- Force: Force is the use or threat of physical violence or intimidation to overcome an individual’s freedom of will to choose whether or not to participate in sexual activity. Force may also include moral, intellectual, psychological or emotional force. For the use of force to be demonstrated, there is no requirement that a Reporting Party resists the sexual advance or request. However, resistance by the Reporting Party will be viewed as a clear demonstration of non-consent.
- Coercion: Coercion is the improper use of pressure to compel another individual to initiate or continue sexual activity against the individual’s will. Coercion can include a wide range of behaviors, including intimidation, manipulation, threats and blackmail. A person’s words or conduct are sufficient to constitute coercion if they wrongfully impair another individual’s freedom of will and ability to choose whether or not to engage in sexual activity. Examples of coercion include threatening to disclose another individual’s private sexual information (sexual orientation, gender identity or gender expression) and threatening to harm oneself if the other party does not engage in the sexual activity.
Incapacitation: Incapacitation is a state where an individual cannot make an informed and rational decision to engage in sexual activity because the individual lacks conscious knowledge of the nature of the act (e.g., to understand the who, what, when, where, why or how of the sexual interaction) and/or is physically helpless. An individual is incapacitated, and therefore unable to give consent, if s/he is asleep, unconscious, or otherwise unaware that sexual activity is occurring.
Incapacitation may result from the use of alcohol and/or drugs. Consumption of alcohol or other drugs alone is insufficient to establish incapacitation as it is a state beyond drunkenness or intoxication. The impact of alcohol and drugs varies from person to person; however, warning signs that a person may be approaching incapacitation may include but may not be limited to slurred speech, vomiting, unsteady gait, odor of alcohol, combativeness, or emotional volatility.
Evaluating incapacitation requires an assessment of how the consumption of alcohol and/or drugs impacts an individual’s:
- decision-making ability;
- awareness of consequences;
- ability to make informed judgments; or
- capacity to appreciate the nature and the quality of the act.
Evaluating incapacitation also requires an assessment of whether a Responding Party knew or should have known that the Reporting Party was incapacitated based on objectively and reasonably apparent indications of impairment when viewed from the perspective of a sober, reasonable person in the Responding Party’s position.
Alcohol and Other Drugs: In general, sexual contact while under the influence of alcohol or other drugs poses a risk to all parties. Alcohol and drugs impair a person’s decision-making capacity, awareness of the consequences, and ability to make informed judgments. It is especially important, therefore, that anyone engaging in sexual activity be aware of the other person’s level of intoxication. If there is any doubt as to the level or extent of the other individual’s intoxication or impairment, the prudent course of action is to forgo or cease any sexual contact or activity.
Being intoxicated or impaired by drugs or alcohol is never an excuse for sexual misconduct and does not diminish one’s responsibility to obtain consent.
PURPOSE FOR WHICH THE DEFINITION OF CONSENT IS USED
This St. Mary’s College of Maryland definition of consent is used in conjunction with the definitions of sexual harassment that are prohibited under the College's policy to help determine if the policy was violated.
BYSTANDER INTERVENTION
We apply the “Bringing in the Bystander” model of bystander intervention (“Bringing in the Bystander” is a registered trademark of the University of New Hampshire). This evidence-based approach is designed to help participants understand the concept of bystander intervention, identify a continuum of inappropriate behavior, develop empathy for those who have experienced sexual violence, and develop skills to intervene as a bystander. As stated in the St. Mary’s Way, St. Mary’s College of Maryland is a place where people foster relationships based upon mutual respect, honesty, integrity, and trust. As such, the College is committed to providing an educational, living and working environment free from all forms of harassment and discrimination for all members of the community.
The College considers you a partner in this fight to end sexual violence and we encourage you to be an active bystander in order to make a profound, personal impact on the community we are building together. Below, you will find more information on how to be an active bystander.
How to Be an Active Bystander:
- Notice the event,
- Interpret the event as a problem,
- Assume personal responsibility,
- Know how to help,
- Implement → Step Up!
If you are interested in receiving or hosting this training, please contact
Email: titleix@smcm.edu
Phone: (240) 895-4195
AWARENESS PROGRAMS AND TRAINING
St. Mary's College of Maryland provides awareness programing and training to prevent dating violence, domestic violence, sexual assault, and stalking. The programs are provided to all new students and employees as well as ongoing training for current students and employees. The programs are culturally relevant, inclusive of diverse communities and identities, sustainable, responsive to community needs, and informed by research or assessed for value, effectiveness, or outcome. The programs consider environmental risk and protective factors and occur on the individual, relationship, institutional, community, and societal levels.
Primary prevention programs: Provided for all new students and employees upon enrollment or employment at the college. These programs provide all new students and employees with information on the College policy on sexual misconduct policy.
Ongoing prevention programs: Programming, initiatives, and strategies are provided for all current students and employees; they are sustained over time and focus on increasing understanding of topics relevant to, and skills for addressing, dating violence, domestic violence, sexual assault, and stalking, using a range of strategies with audiences throughout the institution.
Programs and training provide the campus community with the following information:
- A statement that St. Mary’s College of Maryland prohibits the crimes of domestic violence, dating violence, sexual assault, and stalking.
- The VAWA definition of dating violence, domestic violence, sexual assault and stalking.
- The State of Maryland definition of “domestic violence,” “sexual assault,” and “stalking.”
- Maryland law does not have a definition of “Dating Violence.”
- The St. Mary’s College of Maryland definition of consent and the purposes for which that definition is used. Maryland law does not have a definition of consent.
- A description of safe and positive options for bystander intervention.
- Information on risk reduction.
- Information on how to report sexual misconduct.
- Information on the procedures the college will follow when a report is received including information of possible disciplinary action the college may take.
PROGRAMS OFFERED
Below are examples of programs occasionally offered on campus:
Bringing in the Bystander– This interactive program allows participants to develop and practice bystander intervention prevention skills in-person or virtually. BITB approaches all community members as potential bystanders or witnesses to risky situations and teaches prosocial (positive, appropriate, and safe) ways to prevent or intervene. Bringing in the Bystander is one of the few programs of its kind that has been scientifically evaluated and demonstrated to be an effective prevention program, satisfying many grant requirements. These sessions are offered to the SMCM community on an as needed basis.
Red Flag Campaign– "The Red Flag Campaign uses a bystander intervention strategy to address and prevent sexual assault, dating violence, and stalking on college campuses. The campaign encourages friends and other campus community members to say something when they see warning signs ("red flags") for sexual assault, dating violence, or stalking in a friend’s relationship.
The Campaign is a project of the Virginia Sexual and Domestic Violence Action Alliance, and was created by college students, college personnel, and community victim advocates."
One Love– One Love empowers young people with the tools and resources they need to see the signs of healthy and unhealthy relationships and bring life-saving prevention education to their communities. This programming is offered to students in a small group setting on a rolling basis throughout other awareness months.
Campus Safety Month– Each year SMCM along with other colleges and universities across the nation recognize Campus Safety Awareness Month. The goal is bring attention to the issue of safety on campus and provide opportunities to encourage public conversation about violence prevention at our nation’s colleges and universities. It also offers an opportunity to address the background of campus safety areas and to share information about an institution’s campus safety programs. SMCM recognizes campus safety awareness in September and January of each semester.
Domestic Violence Awareness Month– Domestic Violence Awareness Month (DVAM) was launched nationwide in October 1987 as a way to connect and unite individuals and organizations working on domestic violence issues while raising awareness for those issues. SMCM recognizes DVAM through partnerships with our local community agencies. These partnerships include hosting awareness and recognition events throughout the month specific to domestic violence.
Stalking Awareness Month– Stalking is its own crime with its own risks, safety planning needs, and legal responses. Each year professionals around the country answer the call to action to recognize and mitigate stalking across the country. Nearly 13.5 million people experience stalking in some form. SMCM recognizes these numbers are staggering and help to bring awareness to the SMCM campus community through varies events and activities throughout the month.
Teen Dating Violence Month– Each February, young adults and their loved ones across the nation raise awareness about the issue of teen dating violence through Teen Dating Violence Awareness Month (TDVAM). This annual, month-long effort focuses on advocacy and education to stop dating abuse before it starts. SMCM recognizes the month through partnerships with our local community agencies that bring awareness and recognition events specific to healthy and unhealthy relationships.
Sexual Assault Awareness Month– Is held annually each April to bring awareness to sexual assault and the individuals impacted by it every year. Like the other awareness months, individuals who experience assault often deal with years of healing after the traumatic event. SMCM recognizes this month by providing opportunities to voice their support as well as recognize those impacted directly.
REPORTING OPTIONS
Any sexual misconduct that occurs, including the crimes of domestic violence, dating violence, sexual assault, or stalking, should be reported to:
The Office of Public Safety by calling 240-895- 4911 or x4911 from any on campus phone, or in person at the Public Safety Office.
The Office of Title IX Compliance and Training by phone at (240) 895-4195 or x4195 from any campus phone, in person at the Lucille Clifton House, or by email at titleix@smcm.edu.
Upon reporting sexual misconduct to Public Safety or Title IX the victim will be informed about their options to make a report to local law enforcement authorities, including the victim’s option to:
- Report the offense to local law enforcement authorities
- Be assisted by campus authorities in notifying local law enforcement authorities if the victim so chooses; and
- Decline to notify such authorities
What should you do if you are the victim of sexual misconduct?
- Find a safe place. A friend’s room, your room, or anywhere else you feel safe.
- Call 911 or Public Safety if there is an emergency. You may also request a Public Safety escort for on-campus travel.
- Seek medical attention. The first 96 hours after a sexual assault are critical.
- Preserve Evidence. Do not shower or wash your clothes as this can destroy important evidence. This evidence will be important to a law enforcement investigation and can be helpful in obtaining a protective order.
- Utilize campus resources. Counseling and Psychological Services (CPS), Health Services, the staff therapist/ advocate, the Title IX Coordinator, and Public Safety are just some of the resources on hand. Reach out for help. A whole community is here to help you as you navigate through the next steps. The College encourages all community members to make a prompt report of any incident of sexual misconduct to local law enforcement and to the College.
VICTIM INFORMATION
When a student or employee reports to St. Mary’s College of Maryland that the student or employee has been a victim of dating violence, domestic violence, sexual assault, or stalking, whether the offense occurred on or off campus, the institution will provide the student or employee with a written explanation of the student or employee’s rights and options.
All victims of sexual misconduct will be provided with the following information in writing:
Information on obtaining:
- No contact order issued by the college
- Protective order issued by the courts
- Resources available to assist in obtaining these orders
Options for available assistance in and how to request changes to the following situations:
- Academic
- Living
- Transportation
- Work
Information on available resources on-campus including:
- counseling,
- health,
- mental health,
- victim advocacy,
- legal assistance,
- visa & immigration assistance,
- student financial aid, and
- other services available for victims
Information on available resources within the larger community including:
- counseling,
- health,
- mental health,
- victim advocacy,
- legal assistance,
- visa & immigration assistance,
- student financial aid, and
- other services available for victims
CONFIDENTIALITY
St. Mary’s College of Maryland will protect the confidentiality of all victims and all other necessary parties involved to the extent that such confidentiality would not impair the ability of the institution to provide accommodations and protective measures. Confidential information will only be shared with members of the campus community who have an institutional need to know.
Confidential information includes but may not be limited to:
- Personally identifiable information of victims or other parties involved
- Any accommodations made to the victim or other parties involved
- Any protective measures made for the victim or other parties involved
SUPPORTIVE MEASURES, REMEDIES, AND ACCOMMODATIONS
Overview
Upon receipt of a report, the College will impose reasonable and appropriate supportive measures designed to eliminate the hostile environment and protect the parties involved. The College will make reasonable efforts to communicate with the parties to ensure that all safety, emotional and physical well-being concerns are being addressed; namely, the College will offer to change academic, living, transportation, and working situations or protective measures, if such accommodation is reasonably available. Supportive measures may be imposed regardless of whether formal disciplinary action is sought by the Complainant or the College.
A Complainant or Respondent may request a No- Contact Order or other protection, or the College may choose to impose supportive measures at its discretion to ensure the safety of all parties, the broader College community and/or the integrity of the process.
All individuals are encouraged to report concerns about the failure of another individual to abide by any restrictions imposed by a supportive measure. The College will take immediate and responsive action to enforce a previously implemented measure. Failure to abide by a supportive measure imposed by the College is a violation of this Policy, and the College may pursue disciplinary action for any failure to comply.
List of possible supportive measures
Supportive measures will be implemented at the discretion of the College. Potential remedies, which may be applied to the Complainant and/or the Respondent, include:
- Access to counseling services and assistance in setting up initial appointment, both on and off campus
- Imposition of campus No-Contact Order
- Rescheduling of exams and assignments (in conjunction with appropriate faculty)
- Providing alternative course completion options (with the agreement of the appropriate faculty)
- Change in class schedule, including the ability to take an “incomplete,” drop a course without penalty or transfer sections (with the agreement of the appropriate faculty)
- Change in work schedule or job assignment
- Change in on-campus housing
- Arranging to dissolve a housing contract and pro-rating a refund in accordance with campus housing policies.
- Assistance from College support staff in completing housing relocation.
- Limit an individual or organization’s access to certain College facilities or activities pending resolution of the matter.
- Voluntary leave of absence.
- Providing an escort to ensure safe movement between classes and activities.
- Providing medical services.
- Providing academic support services, such as tutoring.
- Emergency Removal-imposed leave.
- Assistance from the College’s designated school official regarding impact of supportive measures on students who are not U.S. citizens.
- Assistance from the College’s financial aid office regarding the impact of measures on a student’s financial aid.
- Any other remedy that can be tailored to the involved individuals to achieve goals of this policy.
Emergency removal and administrative leave
The College may remove a respondent from its education program or activity on an emergency basis, provided that the College:
- Undertakes an individualized safety and risk analysis,
- Determines that there is an immediate threat to the physical health or safety of any student or other individual arising from the allegations of sexual harassment which justifies removal, and
- Provides the respondent with notice and an opportunity to challenge the decision immediately following the removal.
The College may place a non-student employee respondent on administrative leave during a grievance process.
DISCIPLINARY PROCEEDINGS
When investigating and adjudicating cases of alleged sexual misconduct including dating violence, domestic violence, sexual assault, or stalking St. Mary’s College of Maryland provides that the proceedings will:
- Include a prompt, equitable, fair, and impartial process from the initial investigation to the final result.
- Be completed within reasonably prompt timeframes designated by an institution's policy.
- Allow for the extension of timeframes for good cause with written notice to the Complainant and the Respondent of the delay and the reason for the delay.
- Be conducted in a manner that is consistent with the institution's policies and transparent to the complainant and the respondent.
- Includes timely notice of meetings at which the Complainant or Respondent, or both, may be present.
- Provides timely and equal access to the Complainant, the Respondent, and appropriate officials to any information that will be used during informal and formal disciplinary meetings and hearings.
- Be conducted by officials who do not have a conflict of interest or bias for or against the Complainant or the Respondent.
- Be conducted by individual who receive annual training in areas of dating violence, domestic violence, sexual assault, or stalking and on how to conduct an investigation and hearing process that protects the safety of victims and promotes accountability.
- Provide the Complainant and the Respondent with the same opportunities to have others present during any institutional disciplinary proceeding, including the opportunity to be accompanied to any related meeting or proceeding by an advisor of their choice. (Advisor means any individual who provides the Complainant or Respondent support, guidance, or advice.)
- Not limit the choice of advisor or presence for either the Complainant or the Respondent in any meeting or college disciplinary proceeding; however, the SMCM may establish restrictions regarding the extent to which the advisor may participate in the proceedings, as long as the restrictions apply equally to both parties.
- Provide simultaneous notification, in writing, to both the Complainant and the Respondent, of the result of any disciplinary proceeding that arises from an allegation of dating violence, domestic violence, sexual assault, or stalking; (Result means any initial, interim, and final decision by any official or entity authorized to resolve disciplinary matters within the institution. The result must include any sanctions imposed by the institution. Notwithstanding section 444 of the General Education Provisions Act (20 U.S.C.1232g), commonly referred to as the Family Educational Rights and Privacy Act (FERPA), the result must also include the rationale for the result and the sanctions.)
- Provide simultaneous notification, in writing, to both the Complainant and the Respondent, of the procedures for the Respondent and the Complainant to appeal the result of the institutional disciplinary proceeding, if such procedures are available.
- Provide simultaneous notification, in writing, to both the Complainant and the Respondent, of any change to the result.
- Provide simultaneous notification, in writing, to both the Complainant and the Respondent, of when such results become final.
RETALIATION
The College prohibits retaliation in any way against someone because they raised allegations of sexual harassment or participated in an investigation. The College recognizes that retaliation can take many forms, may be committed by or against an individual or a group, and that a complainant, respondent, or third party may commit or be the subject of retaliation. Retaliation will result in disciplinary action.
For more information or to view the entire College Policy against Sexual Misconduct policy please visit https://www.smcm.edu/title-ix-office/policies-and-applicable-laws
NON-DISCRIMINATION POLICY
St. Mary's College of Maryland is fully committed to equal employment and educational opportunities for its employees and students. The College does not discriminate or condone discrimination or harassment in the workplace or academic setting, on the basis of race, color, religion, sex, national origin, gender identity/expression, sexual orientation, ethnicity, age, marital status, physical or mental disability, protected veteran status, or any other characteristic protected by law.
For purposes of this policy, harassment is defined as: (a) unwelcome conduct based on a legally protected class, including: race, color, religion, sex, national origin, gender identity/expression, sexual orientation, ethnicity, age, marital status, physical or mental disability, protected veteran status, or any other characteristic protected by law; and (b) that is so severe or pervasive that it interferes with an individuals’ work or academic performance or creates an intimidating, hostile or offensive working environment.
All workplace and academic policies, programs and activities of the College are and shall be in conformity with applicable federal and State laws on non- discrimination including, but not limited to: Title VI of the Civil Rights Act of 1964 as amended, Title IX of 1972 Education Amendments, Section 504 of the Rehabilitation Act of 1973, and the Vietnam Era Veterans’ Readjustment Assistance Act of 1974. The College’s equal opportunity policy applies to the College’s educational policies, admission policies, scholarship and loan programs and athletic programs. The policy applies to all employment decisions, including those affecting recruitment, advertising, job application procedures, hiring, upgrading, training, promotion, transfer, compensation, job assignments, benefits, and/or other terms, conditions, or privileges of employment, provided the individual is qualified, with or without reasonable accommodations, to perform the essential functions of the job.
The College’s students, employees and applicants shall not be subjected to harassment, intimidation or any type of retaliation because they have (1) filed a complaint; (2) assisted or participated in an investigation, compliance review, hearing or any other activity related to the administration of any federal, state or local law requiring equal employment opportunity; (3) opposed any act or practice made unlawful by any federal, state or local law requiring equal opportunity; or (4) exercised any other legal right protected by federal, state or local law requiring equal opportunity.
For questions or concerns about these matters, college employees are encouraged to contact the Assistant Director of Human Resources/AA and EEO Officer in Glendening Hall, phone: (240) 895-4309. Students are encouraged to contact the Vice President for Student Affairs, Calvert Hall 222, phone: (240) 895-4208; and the Title IX Coordinator, Lucille Clifton House, phone: (240) 895- 4105, regarding concerns about sex-based discrimination.
Prohibited sex discrimination
The College also does not discriminate on the basis of sex and Title IX of the Education Amendments of 1972 (“Title IX”), 20 U.S.C. Sec. 1681, et seq., requires the College not discriminate in such a manner.
Prohibited sex discrimination covers sexual harassment, including sexual violence. Examples of the types of conduct prohibited include but are not limited to the following examples: non- consensual sexual intercourse, non-consensual sexual contact, non-consensual sexual exploitation, and/or examples found in the College’s Sexual Misconduct Policy.
Inquiries concerning the application of Title IX may be referred to the College’s Title IX Coordinator or to the Department of Education’s Office for Civil Rights.
Our Title IX Coordinator’s information can be found here:
Michelle Carter, Assistant Vice President of Equity and Inclusion, Title IX Coordinator • IDEAA, (240) 895-4105 Lucille Clifton House, 47645 College Drive, St. Mary’s City, MD 20686 titleix@smcm.edu, or mmcarter@smcm.edu
Contact information for the Department of Education’s Office for Civil Rights:
Philadelphia Office
The Wanamaker Building
100 Penn Square East, Suite 515
Philadelphia, PA 19107
Telephone: 215-656-8541
FAX: 215-656-8605
Email: OCR.Philadelphia@ed.gov
www.ed.gov/ocr
ST. MARY’S COLLEGE OF MARYLAND GRIEVANCE PROCESS TO RESOLVE COMPLAINTS OF SEXUAL HARASSMENT
OVERVIEW
This Grievance Process to Resolve Complaints of Sexual Harassment (the “Procedures”) provide a process for the prompt and equitable investigation and adjudication of complaints of Title IX Sexual Harassment, Other Sexual Harassment, and Retaliation (together, “Prohibited Conduct”) as defined in the Policy against Sexual Harassment (the “Policy”) of St. Mary’s College of Maryland (the “College” or “SMCM”). These Procedures apply to address complaints of Prohibited Conduct against students, employees, and contractors at the College. The Procedures ensure the College’s compliance with federal and State law as well as the Policy.
Any person alleging Sexual Harassment against one of the College’s students, employees, or contractors may submit a report to the College as set forth below. Anyone may submit a report, including but not limited to a student; a member of the faculty, administration or staff; a visitor or guest to the campus community; local police; or a family member. The College, on its own, may also initiate, investigate, and adjudicate complaints of Prohibited Conduct against a student, employee or contractor under these Procedures.
These Procedures are effective as of August 14, 2020 and replace and supersede any prior procedures related to complaints, reports, investigation or adjudication of any allegation of Prohibited Conduct against one of the College’s students, staff or faculty.
Any individual who wishes to make a report of Prohibited Conduct is encouraged to make a report directly to the Title IX Coordinator, a Deputy Title IX Coordinator (Deputy), the Dean of Students Office, Public Safety or the Office of Student Conduct.
Reports can be made in person, by telephone, by email or by submission of an online form. When the College has actual knowledge of harassment, the Title IX Coordinator will promptly contact the person who allegedly experienced Prohibited Conduct (the complainant) and explain, among other things, the process for filing a formal complaint. The Title IX Coordinator will also discuss the availability of supportive measures, consider the complainant’s wishes with respect to supportive measures, and inform the complainant of the availability of supportive measures with or without the filing of a formal complaint.
Once the College knows of possible Prohibited Conduct, it will take immediate and appropriate action to investigate the report or otherwise determine what occurred. This obligation applies to any allegations of Prohibited Conduct covered by the Policy regardless of whether a parallel law enforcement investigation or action is pending and regardless of whether a Formal Complaint (defined below) is provided.
PROMPT AND EQUITABLE PROCEEDINGS
These Procedures establish reasonably prompt time frames for the conclusion of the grievance process, including reasonably prompt time frames for filing and resolving appeals and informal resolution processes. In some circumstances, there may be temporary delays of the grievance process, or time frames may be extended for good cause. In those cases, the complainant and the person who allegedly engaged in the Prohibited Conduct (the respondent) will receive written notice of the delay or extension and the reasons for the action. “Good cause” may include considerations such as the absence of a party, a party’s advisor, or a witness; concurrent law enforcement activity; or the need for language assistance or accommodation of disabilities.
These Procedures provide for fair and impartial proceedings. As such, the Procedures require the objective evaluation of relevant evidence and provide that any credibility determination may not be based on a person’s status as a complainant, respondent, or witness. Anyone who is designated as a Title IX Coordinator, investigator, decision-maker, or someone who facilitates an informal resolution process (together, “Title IX Personnel”) must not have a conflict of interest or bias for or against complainants or respondents generally, or an individual complainant or respondent.
Furthermore, Title IX Personnel must receive training on, among other things, how to serve impartially, including by avoiding prejudgment of the facts at issue, conflicts of interest, and bias.
PROCEDURAL OVERVIEW
In every instance when a report is received under the Policy, the Title IX Coordinator or Deputy will conduct an Initial Assessment to ensure the safety of the complainant and to determine the nature of the allegations against the respondent. At the conclusion of the Initial Assessment, the Title IX Coordinator or Deputy will ascertain whether the complainant wishes to file a formal complaint.
If the complainant files a Formal Complaint, the Title IX Coordinator or Deputy will determine if the allegations constitute Title IX Sexual Harassment (sexual harassment, sexual assault, dating violence, domestic violence, and stalking) or Other Sexual Harassment. The Title IX Coordinator or Deputy will notify both parties of the reasons for the designation decision. The Title IX Coordinator or Deputy may then initiate a Formal Investigation, including a live hearing, and implement supportive measures. The College may implement an Informal Resolution after a formal complaint has been filed and before a determination of responsibility has been made.
If the allegations in the Formal Complaint do not qualify as Prohibited Conduct (either Title IX Sexual Harassment or Other Sexual Harassment), the Formal Complaint will be dismissed.
If the complainant does not file a Formal Complaint, the Title IX Coordinator or Deputy may implement supportive measures on the complainant’s behalf.
Each of these steps is discussed in more detail below. The chart on the following page also summarizes this process.
INITIAL ASSESSMENT
The first step of the Initial Assessment will usually be a preliminary meeting between the complainant and the Title IX Coordinator or Deputy. If the report was made by a third party, the Title IX Coordinator or Deputy may meet with the third party to assess the nature of the allegations and the names of the persons involved in the incident.
The purpose of the preliminary meeting is to gain a basic understanding of the nature and circumstances of the report and to provide the complainant with information about resources, procedural options and interim measures. At the preliminary meeting, the Title IX Coordinator or Deputy will:
- Assess the nature and circumstances of the allegations;
- Address immediate physical safety and emotional well-being needs of the complainant;
- Notify the complainant of the right to contact law enforcement;
- Offer assistance and transportation to the complainant to see medical treatment;
- Inform the complainant of the importance of preservation of evidence;
- Provide the complainant with information about on- and off-campus resources;
- Provide the complainant with information about Supportive Measures (defined below);
- Explain procedural options, including Informal Resolution, if applicable, and Formal Resolution;
- Inform the complainant of their right to have an advisor, advocate, and/or support person present during any meeting throughout the process;
- Assess for pattern evidence or other similar conduct by the respondent; and
- Explain the College’s Policy prohibiting retaliation.
During the Initial Assessment, the Title IX Coordinator or Deputy will determine the risk of potential harm to the broader campus community and take steps necessary to address any identified risks. If the report involves allegations of a crime, the Title IX Coordinator or Deputy will report the alleged crime to the Director of Public Safety for inclusion in the College’s daily crime log and will assess whether the reported conduct requires issuance of a timely warning under the Clery Act or must be included in the College’s annual Clery Report.
The Initial Assessment will proceed to the point where a reasonable assessment of the safety of the complainant and of the campus community can be made. At the conclusion of the Initial Assessment, the Title IX Coordinator or Deputy will determine whether the report falls within the scope of the definition of Prohibited Conduct. If so, the Title IX Coordinator or Deputy will ascertain whether the complainant wishes to pursue an Informal Resolution or Formal Resolution.
If the complainant wishes to pursue a Formal Resolution, the Title IX Coordinator or Deputy will work with the complainant to prepare a Formal Complaint to begin an Investigation.
If the complainant wishes to pursue an Informal Resolution and the allegations of Prohibited Conduct do not involve allegations of sexual assault, the Title IX Coordinator or Deputy will contact the respondent to begin the Informal Resolution process. If the complainant wishes to pursue an Informal Resolution and the allegations involve sexual assault, or allegations of Title IX Sexual Harassment against an employee, the Title IX Coordinator will inform the complainant that the Informal Resolution process is not available and will offer to pursue an Investigation and Formal Resolution.
The Title IX Coordinator or Deputy also may offer the complainant supportive measures that do not impact the respondent. The Title IX Coordinator or Deputy will confirm the complainant’s desired process via email.
The Title IX Coordinator or Deputy may consult relevant College employees and legal counsel as needed.
COMPLAINANT’S REQUEST NOT TO PURSUE INVESTIGATION OR ADJUDICATION
A complainant may request that the College take no action, that an Investigation not be conducted, or that a specific adjudication process or part thereof not take place. A complainant may also decline to respond to requests from the Title IX Coordinator or Deputy to discuss the allegations of Prohibited Conduct.
If the complainant makes one of these requests or does not respond to requests to discuss the allegations of Prohibited Conduct, the Title IX Coordinator or Deputy will consider the reasons for the request or decision not to appear for a meeting, including concerns about the continued safety of the complainant and members of the campus community. The Title IX Coordinator or Deputy will inform the complainant that the College’s ability to investigate, discipline the respondent or otherwise respond to the report may be limited.
The Title IX Coordinator or Deputy will balance the complainant’s desire not to have the report investigated or adjudicated against considerations about the continued health and safety of members of the community. If a complainant does not want to have a report investigated or declines to respond to requests to discuss the allegations, and the Title IX Coordinator or Deputy has concerns that not taking action might violate law and/or endanger the health or safety of any individual, the Title IX Coordinator or Deputy will weigh the following factors in considering a request that no Investigation or adjudication be conducted:
- The seriousness of the conduct;
- The respective ages and roles of the complainant and respondent;
- The rights of the respondent to receive notice before disciplinary action is sought;
- Circumstances that suggest there is an increased risk of the respondent committing additional acts of sexual violence or other violence (e.g., whether there have been other complaints or reports of harassment about the same respondent, whether the respondent has a history of arrests or records from a prior school indicating a history of violence, whether the respondent threatened further sexual violence or other violence against the complainant or others, and whether the sexual violence was committed by multiple respondents);
- Circumstances that suggest there is an increased risk of future acts of sexual violence under similar circumstances (e.g., whether the complainant’s report reveals a pattern of perpetration through the use of illicit use of drugs or alcohol, at a given location or by a particular group);
- Whether the sexual violence was perpetrated with a weapon; and
- Whether the College possesses other means to obtain relevant evidence (e.g., security cameras or personnel, physical evidence).
The Title IX Coordinator or Deputy may consult with relevant College employees, including but not limited to, the Dean of Students, the Provost, the Associate Vice President of Human Resources, and legal counsel to determine whether a request not to investigate or adjudicate may be granted. The Title IX Coordinator or Deputy will make the ultimate decision about whether to conduct an Investigation or respond to the report in another manner, including taking protective remedies, such as those described below.
The College will take all reasonable steps to investigate and respond to the report consistent with the request for privacy or request not to pursue an Investigation. If the College is unable to take action consistent with the request of the complainant, the Title IX Coordinator or Deputy will inform the complainant via email about the College’s chosen course of action.
CONFIDENTIALITY OF COMPLAINTS AND REPORTS
The College understands that the complainant, respondent, and witnesses involved in any Prohibited Conduct matter desire confidentiality during the investigation and adjudication of such matters. While the College will keep these matters confidential to the extent possible and as required by law, the College cannot ensure complete confidentiality, or even the confidentiality requested by parties, in all cases.
The Title IX Coordinator, Deputy and Investigators will, to the best of their ability, keep private the information provided by the complainant, respondent, or witnesses. The Title IX Coordinator, Deputy, and Investigator(s) will disclose this information only to individuals who need to know information related to the allegations in order to investigate or adjudicate the matter; to protect the health, safety and wellness of the College community; and/or to individuals allowed to know by law.
In addition, the Title IX Coordinator may need to disclose information to law enforcement consistent with State and federal law; to other College employees as necessary for coordinating supportive measures; for health, welfare, safety, and other appropriate reasons; as well as to government agencies who review the College’s compliance with federal and State law. Information about complaints and reports, absent personally identifiable information, may be reported as needed within the College and/or to external entities for statistical and analysis purposes pursuant to applicable federal and State law and College policy.
Confidential assistance can be obtained through the confidential resources listed in the Policy, available at http://www.smcm.edu/title-ix/.
Supportive Measures
These Procedures treat complainants and respondents equitably (1) by offering supportive measures to the complainant and providing remedies to a complainant, and (2) by following a grievance process that complies with the Final Title IX Regulations before the imposition of any disciplinary sanctions or other actions that are not supportive measures against a respondent.
More information about the range of supportive measures available to complainants and respondents may be found in the Policy, available at http://www.smcm.edu/title-ix/.
Attorneys, Advocates and Personal Supporters
The College will provide the parties with the same opportunities to have others present during any grievance proceeding, including the opportunity to be accompanied to any related meeting or proceeding by the advisor of their choice, who may be, but is not required to be, an attorney.
The College will not limit the choice or presence of advisor for either the complainant or respondent in any meeting or grievance proceeding. However, the College may establish restrictions regarding the extent to which the advisor may participate in the proceedings, as long as the restrictions apply equally to both parties.
The Parties have the right to be assisted by an attorney or advocate supervised by an attorney (both referred to herein as “advocate”), as well as a personal supporter of their choice (“supporter”) through the investigation and adjudication of a complaint of Prohibited Conduct. Advocates may not be a witness or other party in the proceeding.
Advocates and supporters may accompany the student to any meeting or interview. Parties may not have more than two people, including a supporter and advocate, at any meeting or interview.
Advocates and supporters have no speaking role in a meeting or interview and are not permitted to ask or answer questions during those sessions. All communication regarding the resolution process will be directed to the student. The College will only respond to communications received from the student. An advocate will not be permitted to communicate on the student’s behalf.
In the context of serving as an advocate or supporter to a Party, their statements are not made on behalf of the College but are solely made as an advocate and/or supporter for a Party. It is important, when one chooses an advocate or supporter, to ask for the individual’s consent to serve in that capacity before divulging any confidential information.
ADVOCATE ROLES
In addition to attending meetings and interviews, advocates are permitted to assist parties through:
- Private consultations with the party during meeting and interviews;
- Providing advice to the party in a non- disruptive manner (such as communicating in writing);
- Assisting a party’s exercise of any right during the investigative and adjudicatory process.
If a party wishes to have an advocate accompany the party to a meeting or interview, parties are asked to give notice to the Title IX Coordinator or Deputy at least twenty-four (24) hours prior to any meeting or interview that an advocate will attend. Students should select an advocate whose schedule allows attendance at any meeting or interview. Parties may select and retain an advocate at any time before the conclusion of a formal Prohibited Conduct complaint is resolved.
As set forth in more detail in the hearing procedures below (sec. n), only advocates/advisors – not parties – may conduct cross-examination of parties or witnesses.
MHEC-PROVIDED ATTORNEYS
The Maryland Higher Education Commission (MHEC) provides for licensed attorneys who have indicated that they will represent complainants or respondents (who are current students or were students at the time of the underlying alleged Prohibited Conduct), in Title IX proceedings on a pro bono basis or for reduced legal fees. Students who seek representation from those attorneys are not responsible for the cost of legal services provided. Attorneys representing students in Title IX proceedings are reimbursed directly from MHEC’s Legal Representation Fund for Title IX Proceedings, subject to the availability of funding.
Parties who seek representation from an MHEC- identified attorney may visit the MHEC webpage:
- https://mhec.maryland.gov/Pages/Title-IX- Campus-Sexual-Assault-Proceedings.aspx.
The list of attorneys available through MHEC may be found here:
- https://mhec.maryland.gov/Pages/TitleIX- Campus-Sexual-Assault-Proceedings--- Attorney-List.aspx.
Students may be represented by private counsel or through other legal service agencies or organizations. If a student chooses to be represented by an attorney that is not on MHEC’s list of attorneys (described above), MHEC shall pay fees to the attorney selected by the student that are equivalent to those paid to attorneys under civil legal services programs administered by the Maryland Legal Services Corporation.
FORMAL COMPLAINT
A “formal complaint” means a document filed by a complainant or signed by the Title IX Coordinator alleging sexual harassment against a respondent and requesting that the College investigate the allegation of Prohibited Conduct. The formal complaint is a document or electronic submission that contains the complainant’s physical or digital signature, or otherwise indicates that the complainant is the person filing the formal complaint. If the Title IX Coordinator signs a formal complaint, the Title IX Coordinator is not a complainant or otherwise a party to the investigation.
At the time of filing a formal complaint, a complainant must be participating in, or attempting to participate in, the College’s education program or activity.
A formal complaint may be filed with the Title IX Coordinator in person, by mail, by e-mail, or any additional method designated by the College.
A person wishing to submit a formal complaint should using the College’s Sexual Harassment Formal Complaint Form, which is available at www.smcm.edu/title-ix/. Hard copies are also available in the Office of Title IX Compliance and Training.
The formal complaint should set forth the details of the complainant’s allegations, including, to the extent known:
- The names and contact information of the respondent(s),
- The names and contact information of any witnesses to the incident, Revisions effective August 14, 2020 (updated
- August 13, 2021) Interim policy approved by the President Approved by the Board of Trustees October 16, 2020 10
- The relevant dates and places,
- Statements made by the parties and/or witnesses that may be relevant to the allegations,
- Any documentation or communications to support the claim, and
- The remedy requested.
If the complainant declines to submit a written Formal Complaint, the Title IX Coordinator or Deputy may draft the Formal Complaint based on the complainant’s oral description of the allegations and submit it to the complainant to review for accuracy.
If the complainant chooses not to cooperate with the investigation, the Title IX Coordinator or Deputy may go forward with these Procedures, as required, without the complainant’s participation.
A complainant should schedule an in-person meeting with the Title IX Coordinator or Deputy as promptly as possible to permit the College to accurately investigate the allegations and appropriately remedy any violation(s).
The complainant may supplement the formal complaint with additional information during the Investigation.
NOTICE FOLLOWING THE FORMAL COMPLAINT
Upon receipt of a formal complaint, the College will promptly send written notice to known parties of the following:
- The grievance process, including any informal process.
- The allegations of Prohibited Conduct, including sufficient details known at the time and with sufficient time to prepare a response before any initial interview. “Sufficient details” include the identities of the parties involved in the incident, if known, the conduct allegedly constituting Prohibited Conduct (including the College’s decision of whether to designate the alleged Prohibited Conduct as Title IX Sexual Harassment or Other Sexual Harassment), and the date and location of the alleged incident, if known.
- The College’s decision to proceed with the resolution process or dismiss the Formal Complaint as described below.
- The parties’ rights to appeal the designation and/or dismissal decision.
- A statement that the respondent is presumed not responsible for the alleged conduct and that a determination regarding responsibility is made at the conclusion of the grievance process.
- The parties may have an advisor of their choice, who may be, but is not required to be, an attorney, and may inspect and review evidence.
- The Code of Conduct provisions that prohibit knowingly making false statements or knowingly submitting false information during the grievance process.
In order to proceed with a Formal Complaint, the College is required to inform the respondent of the complainant’s identity (but not other personally identifiable information).
If the College decides to investigate additional allegations that are not included in the original notice, the College will provide notice of the additional allegations to the parties.
DISMISSAL OF FORMAL COMPLAINT
Federal Title IX regulations require that the College dismiss a Formal Complaint of sexual harassment if the conduct alleged:
- Would not constitute Title IX Sexual Harassment, even if proved;
- Did not occur in the College’s education program or activity; or
- Does not fall within the College’s jurisdiction.
Even if the College must dismiss a Formal Complaint as required by the Federal Title IX regulations above, the College may still investigate the allegations if the alleged conduct, if proved, constitutes Other Sexual Harassment as defined in the College’s policy. In those instances, having designated the conduct as Other Sexual Harassment, the College may still investigate and adjudicate the alleged conduct under the same procedures outlined herein.
The College may dismiss any formal complaint, or any allegations therein, if any of the following occur during the investigation or hearing:
- A complainant notifies the Title IX Coordinator in writing that the complainant would like to withdraw the formal complaint or any allegations therein;
- A respondent is no longer enrolled or employed by the College; or
- Specific circumstances prevent the College from gathering evidence sufficient to reach a determination.
If the reported conduct does not constitute Title IX Sexual Harassment or Other Sexual Harassment, if proved, the College will assess the Formal Complaint to determine if it should be referred to the Dean of Students to assess under the Code of Conduct and/or applicable handbook.
If a formal complaint is dismissed, the College will promptly send written notice of the dismissal and the reason(s) therefor to the parties simultaneously, including information on how to appeal this determination.
CONSOLIDATION OF FORMAL COMPLAINTS
The College may consolidate formal complaints as to allegations of Prohibited Conduct against more than one respondent, or by more than one complainant against one or more respondents, or by one party against the other party, where the allegations of Prohibited Conduct arise out of the same facts or circumstances.
RESOLUTION
There are two avenues for resolution of allegations of Prohibited Conduct: Informal Resolution and Formal Resolution. The Title IX Coordinator or Deputy is available to explain the procedures for either form of resolution.
For a summary of the differences between Informal and Formal Resolution, please see the table below:
Informal Resolution
An informal resolution is a process, such as mediation, that does not involve a full investigation and adjudication of allegations of Prohibited Conduct.
The College does not require the parties to participate in an informal resolution process. There must be a formal complaint on file before the College can offer an informal resolution. The College may facilitate an informal resolution at any time prior to reaching a determination regarding the responsibility.
In cases of informal resolution, the College will provide to the parties a written notice disclosing:
- the allegations
- the requirements of the informal resolution process, including the circumstances under which it precludes the parties from resuming a formal complaint arising from the same allegations, provided, however, that at any time prior to agreeing to an informal resolution, any party has the right to withdraw from the informal resolution process and resume the grievance process with respect to the formal complaint, and
- any consequences resulting from participating in the informal resolution process, including the records that will be maintained or could be shared;
The College will obtain the parties’ voluntary, written consent to the informal resolution process.
The College does not offer or facilitate an informal resolution process to resolve allegations that an employee sexually harassed a student. The College does not require a complainant to waive the right to an investigation and adjudication of formal complaints of Prohibited Conduct as a condition of enrollment or continuing enrollment, or employment or continuing employment, or enjoyment of any other right.
An Informal Resolution might include, but is not limited to, non-disciplinary remedies such as:
- Implementing agreed upon supportive measures;
- Providing training or counseling to an individual or group;
- Having an informal discussion with the respondent;
- Requesting a written apology from the respondent;
- Increasing monitoring or security at specified locations; or
- Facilitating a confidential conversation between the Parties; and
- Any other remedy that can be tailored to the Parties to achieve the goals of the Policy.
Formal Resolution
For an overview of the Formal Resolution process, please see the figure below.
CONFIDENTIALITY
The formal investigation does not restrict the ability of either party to discuss the allegations or gather and present relevant evidence.
The College will maintain the confidentiality of any supportive measures provided to the parties, to the extent that maintaining confidentiality would not impair the College’s ability to provide measures.
The College will maintain the confidentiality of the identity of anyone who has made a report or complaint of sex harassment or discrimination, anyone who has been reported as perpetrator, any respondent, and any witness, except as permitted by FERPA or required by law or to carry out the purposes of the Policy and Procedures.
STANDARD OF PROOF
The standard of proof in all Prohibited Conduct cases initiated under the Policy shall be “preponderance of the evidence” (i.e. that it is more likely than not that the respondent is responsible for violation(s) of the Policy). The same standard applies to all formal complaints, against students and employees.
The respondent is presumed not responsible for the alleged conduct until a determination regarding responsibility is made at the conclusion of the process.
APPOINTMENT OF INVESTIGATOR(S)
Upon receipt of the Formal Complaint, the Title IX Coordinator or Deputy shall appoint one (1) or more Investigators who have specific training and experience investigating allegations of Prohibited Conduct (Investigator(s)). The Investigator(s) may be employees of the College or external Investigator(s) engaged to assist the College in its fact-gathering. The Title IX Coordinator or Deputy may appoint a team of two Investigators, which may include the pairing of an external investigator with a college employee. Any Investigator chosen to conduct the Investigation must be impartial and free of any conflict of interest.
- Investigators’ Conflicts of Interest
A conflict of interest may arise if the Investigator is related to, has a friendship with, or otherwise has had interactions with one of the parties or witnesses that may compromise the fairness or impartiality of the investigation. In the rare situation in which an actual or perceived conflict of interest arises from the involvement of an Investigator, that conflict must be disclosed to all parties and any potential or actual conflict must be appropriately addressed.
If a complainant or respondent has reason to believe that an Investigator for the case has a conflict of interest, the party should notify the Title IX Coordinator or Deputy immediately via email and provide the reasons why the party believes there is a conflict of interest. Likewise, an Investigator must promptly disclose any potential conflict of interest the Investigator might have in a particular case. The Title IX Coordinator or Deputy will review the information provided and make a determination regarding whether the Investigator should be replaced with another Investigator.
COORDINATION WITH LAW ENFORCEMENT
At the request of law enforcement, the College may agree to defer its Investigation until after the initial stages of a criminal investigation.
The College will nevertheless communicate with the complainant regarding Title IX rights, procedural options and the implementation of interim measures to assure safety and well- being. The College will promptly resume its Investigation as soon as law enforcement has completed its initial investigation.
INVESTIGATION
The Investigation is designed to provide a fair, impartial, and reliable gathering of the facts.
All individuals interviewed during the Investigation, including the parties and any witnesses, will be treated with appropriate sensitivity and respect. The Investigation will safeguard the privacy of the individuals involved as much as possible, consistent with the need for a full assessment of the facts. At the commencement of the Investigation, the Title IX Coordinator or Deputy will provide the Investigator(s) with a copy of the Formal Complaint.
Throughout the investigation and adjudication process, the College will provide an equal opportunity for the parties to present witnesses, including fact and expert witnesses, and other inculpatory and exculpatory evidence.
The Investigation ordinarily will include interviews of the parties and any witnesses who may have relevant information, unless clearly unreasonable or duplicative of information already gathered; a review of any pertinent documents, medical records, and communications; and may include other actions deemed appropriate by the Investigator(s). Interviews will not be recorded.
If a party or witness declines to participate in the Investigation and the College is aware of relevant information pertaining to or in the knowledge of that party, the Title IX Coordinator may present this information to the Investigator.
The Title IX Coordinator, Deputy and/or Investigator(s) shall make every effort to keep the Investigation confidential, although confidentiality cannot be guaranteed. During the Investigation, the Title IX Coordinator, Deputy and Investigator(s) are not permitted to discuss the investigation with anyone except as circumstances warrant on a need-to-know basis. The Investigator(s) may communicate with legal counsel to the College and the Title IX Coordinator or Deputy during the Investigation.
The College will maintain the privacy of all parties to a complaint under these Procedures, except when it interferes with the College’s obligations (1) to fully investigate allegations of violation of the Policy or (2) to notify applicable governmental agencies as may be required by law. Where privacy may
not be strictly kept, it will still be tightly controlled on a need‐to‐know basis and maintained to the extent possible. Breach of confidentiality by the Investigator(s) will result in a permanent removal from the Investigation and may subject the Investigator(s) to disciplinary action.
Evidence Protected by Privilege
Under these Procedures, the College does not require, allow, rely upon, or otherwise use questions or evidence that constitute, or seek disclosure of, information protected under a legally recognized privilege, unless the person holding such privilege has waived it.
Sexual History or Behavior
Questions and evidence about the complainant’s sexual predisposition or prior sexual behavior are not relevant, unless (1) such questions and evidence about the complainant’s prior sexual behavior are offered to prove that someone other than the respondent committed the conduct alleged by the complainant, or (2) the questions and evidence concern specific incidents of the complainant’s prior sexual behavior with respect to the respondent and are offered to prove consent.
In general, a Party’s prior sexual history is not relevant and will not be considered by the Investigator(s). Where a current or previous dating or sexual relationship is alleged between the Parties, and the respondent alleges consent, the prior sexual history between the Parties may be considered by the Investigator(s) as relevant to assess the manner and nature of communications regarding consent between the Parties. The mere allegation of a current or previous dating or sexual relationship, by itself, is not sufficient to constitute consent.
Any prior sexual history of a party with other individuals is typically not relevant and will not be considered, except to:
- Prove the source of injury;
- Prove prior sexual misconduct;
- Support a claim that a party has an ulterior motive; or
- Impeach a party’s credibility after that party has put his or her own prior sexual conduct at issue.
Health and Mental Health History
The College will not access, consider, disclose, or otherwise use a party’s records that are made or maintained by a physician, psychiatrist, psychologist, or other recognized professional or paraprofessional acting or assisting in their professional capacity, and which are made and maintained in connection with the provision of treatment to the party, unless the College obtains that party’s voluntary, written consent to do so.
Summary of Investigative Interviews
After each investigative interview, the Investigator(s) shall prepare a written summary of the interview and shall email a copy of the summary of the interview to the Party or witness who was interviewed as soon as practicable after the interview is conducted. The Party or witness will be given two (2) business days from the date upon which the Investigator(s) send the summary of the interview to provide any comments or additional information via email to the Investigator(s).
If the Party or witness does not provide comments or additional information to the Investigator(s) within this time period, the summary of the interview will be included in the Investigative Report without comment from the Party or witness. If the Party or witness provides comments or additional information to the Investigator(s) within this time period, the Investigator(s) shall include the comments and additional information in the Investigative Report, as defined below, and may, in the Investigator(s)’ discretion, conduct another interview of the Party or witness.
Preliminary Investigative Report
At the conclusion of the initial investigation, the Investigator(s) will prepare a written summary of the information gathered, including but not limited to the names of the witnesses interviewed, summaries of the information provided by each Party and each witness, and copies of all documents or physical evidence provided to the Investigator(s) (the “Preliminary Investigative Report”).
The College will provide both parties an equal opportunity to inspect and review any evidence obtained as part of the investigation that is directly related to the allegations raised in a formal complaint. This includes any evidence upon which the College does not intend to rely in reaching a determination regarding responsibility. This also includes inculpatory or exculpatory evidence, whether obtained from a party or other source, so that each party can meaningfully respond to the evidence prior to the conclusion of the investigation.
The College will send the Preliminary Investigative Report to each party and the party’s advisor, if any. Each party will have ten (10) days to submit a response, which the Investigators will consider prior to the completion of the investigative report (the Response to the Preliminary Investigative Report).
Additional Investigation
Upon receipt of each Party’s Response to Preliminary Investigative Report or the expiration of the deadline to submit the Response to Preliminary Investigative Report, whichever is earlier, the Title IX Coordinator will submit the Parties’ Responses to Preliminary Investigative Report for the Investigator(s)’ consideration. Parties will receive copies of the same. The Investigator(s) will carefully review all of the information submitted by the Parties in response to the Preliminary Investigative Report. The Investigator(s) may conduct additional interviews to the extent reasonable, based on the relevancy and materiality of the statement of information known by a witness.
Final Investigative Report
After the Investigator(s) review the Responses to the Preliminary Investigative Report and conduct any additional investigation, the College will prepare the final investigative report (the “Final Investigative Report”). The Final Investigative Report will fairly summarize relevant evidence. The College will send the Final Investigative Report to the party and the party’s advisor, if any, ten (10) days prior to the hearing. The College will send the investigative report in an electronic format or a hard copy to the parties’ and the hearing officer(s).
LIVE HEARING
The College will provide a live hearing cross- examination before hearing officer(s), who will determine the outcome, for the resolution of formal complaints. Hearing officer(s) may be College faculty or staff members with appropriate expertise and training or may be external Title IX professionals appointed for this purpose. Hearing officer(s) must be unbiased and without any conflicts of interest.
Live hearings may be conducted with all parties physically present in the same geographic location. Alternatively, at the
College’s discretion, any or all parties, witnesses, and other participants may appear at the live hearing virtually, with technology enabling participants simultaneously to see and hear each other. At the request of either party, the College will provide for the live hearing to occur with the parties located in separate rooms with technology enabling the hearing officer(s) and parties to simultaneously see and hear the person answering questions.
The College will create an audio or audiovisual recording or transcript of any live hearing and make it available to the parties for inspection and review.
At the hearing, all of the evidence that has been subject to the parties’ inspection and review will be available to give each party an equal opportunity to refer to the evidence during the hearing, including for purposes of cross-examination.
The College will provide an equal opportunity for the parties to present witnesses, including fact and expert witnesses, and other inculpatory and exculpatory evidence.
HEARING PROCEDURES
Written notice of the specific charges and a hearing date are provided to the Parties at least ten (10) days in advance of the Hearing. Hearing dates are scheduled in consultation with the Parties whenever possible.
If a Party does not have an Advisor present at the Hearing, the College will provide one free of charge for the purpose of conducting cross- examination on behalf of that Party. When able, Parties must notify the Title IX Coordinator or designee at least 48 hours prior to the hearing if an Advisor is needed from the College.
The College will notify all witnesses interviewed during the investigation of the date and time of the Hearing. The Hearing Officer may also request the presence of witnesses.
The Hearing Officer may conduct the Hearing with all Parties and witnesses physically present in the same geographic location or, with any or all Parties, witnesses, and other participants present at the Hearing virtually, with technology enabling participants simultaneously to see and hear each other.
At either Party’s request, the College will provide the Parties with separate rooms (including separate virtual rooms if the Hearing is held virtually) and use technology enabling the Hearing Officer and Parties to simultaneously see and hear the Party or the witness who is answering a question.
All Hearings are closed to the public.
Hearings will be recorded or transcribed by the College. No other recordings will be permitted. Recordings and transcripts are maintained by the College. Parties may submit a written request to inspect and review the recording or transcript.
All evidence subject to the Parties’ inspection and review will be available at the Hearing to give each Party equal opportunity to refer to such evidence during the Hearing, including for purposes of cross-examination.
The Investigator(s) will summarize the Final Investigation Report for the record.
Each Party may provide a brief opening statement.
The Hearing Officer may ask questions of the Investigator(s) and may permit the Parties’ Advisors to do the same.
The Hearing Officer may ask questions of the Parties before cross-examination by the other Party’s Advisor.
Each Party’s Advisor will be provided an opportunity to cross-examine the other Party and any witnesses. Questioning will be conducted directly, orally and in real time by the Party’s Advisor only. Parties may not question each other or witnesses directly.
Before a Complainant, Respondent, or witness answers a cross-examination or other question, the Hearing Officer must first determine whether the question is relevant and explain any decision to exclude a question as not relevant. All relevant questions and follow up questions, including those challenging the credibility of Parties and witnesses, will be allowed.
Questions and evidence about the Complainant’s sexual predisposition or prior sexual behavior are not relevant, unless such questions and evidence:
Are offered to prove that someone other than the Respondent committed the conduct alleged by the Complainant; or Concern specific incidents of the Complainant’s prior sexual behavior with respect to the Respondent and are offered to prove Consent.
Questions and evidence about the Respondent’s prior sexual history with an individual other than a Party to the proceedings may only be considered if the evidence:
- Prove the source of the injury;
- Proves prior sexual misconduct;
- Supports a claim that a Party has an ulterior motive; or
- Impeaches a Party’s credibility after that Party has put their own prior sexual conduct in issue.
The Hearing Officer may not consider a Party’s records that are made or maintained by a physician, psychiatrist, psychologist, or other recognized professional or paraprofessional acting in the professional’s or paraprofessional’s capacity, or assisting in that capacity, and which are made and maintained in connection with the provision of treatment to the Party, unless the College obtains that Party’s voluntary, written consent to do so.
The Hearing Officer may not consider any questions or evidence about a student’s history of mental health counseling, treatment, or diagnosis, unless the student consents.
The Hearing Officer may not consider questions or evidence that constitute, or seek disclosure of, information protected under a legally recognized privilege, unless the person holding such privilege has waived the privilege.
If a Party or witness declines to answer any questions, the Hearing Officer will not rely on any prior statements made by that Party during the investigation process in making a determination regarding responsibility.
If a party or witness does not submit to Cross-examination at the live hearing, the hearing officer(s) will not rely on any statement of that party or witness in reaching a determination regarding responsibility. However, the hearing officer(s) will not draw an inference about the determination regarding responsibility based solely on a party’s or witness’s absence from the live hearing or refusal to answer Cross- examination or other questions.
The Hearing Officer may permit each Party to make a brief closing statement.
DECISION OR OUTCOME
The hearing officer(s), who cannot be the same as the Title IX Coordinator or the investigator(s), will issue, simultaneously to the parties, a written determination regarding responsibility, which must include:
- Identification of the allegations potentially constituting Prohibited Conduct;
- Description of the procedural steps taken from receipt of the formal complaint through the determination, including any notifications to the parties, interviews with parties and witnesses, site visits, methods used to gather other evidence, and hearings held;
- Findings of fact supporting the determination;
- Conclusions regarding the application of the College’s Policy, Procedure, Code of Conduct, and/or relevant handbook to the facts;
- Statement of, and rationale for, the result as to each allegation, including:
- A determination regarding responsibility,
- Any disciplinary sanctions the College imposes on the respondent, and
- Whether remedies designed to restore or preserve equal access to the education program or activity will be provided to the complainant; and
- Procedures and permissible bases for parties to appeal.
The determination regarding responsibility becomes final either on the date that the College provides the parties with the written determination of the result of the appeal (if any), or the date on which an appeal would no longer be considered timely.
The Title IX Coordinator will review the Outcome and Sanctions for consistency with College policy and practice, and the College’s legal counsel will review the Outcome for legal sufficiency. The Title IX Coordinator or Deputy will include in the Outcome a notification of the Parties’ right to appeal and the name of the Appeal Officer who has been appointed.
After the legal sufficiency review is complete, the Title IX Coordinator or Deputy will email the Outcome concurrently to each Party via their respective College-assigned e-mail accounts. If the respondent is found responsible, the Title IX Coordinator or Deputy will email the Sanctions to the respondent. The complainant will be informed of any sanctions to the extent consistent with FERPA and other applicable law. The Student Conduct Officer or Associate Vice President of Human Resources will implement the Sanctions.
If neither Party submits an appeal within the applicable time limit, the Outcome and Sanctions will become final on the day immediately following the expiration of the time for filing an appeal.
SANCTIONS
If the respondent is found responsible for a violation of the Policy, the Title IX Coordinator or Deputy will provide the Hearing Officer(s) with a copy of the respondent’s disciplinary history, which may be considered by the Hearing Officer(s) in determining a sanction(s). Disciplinary records related to instances where the respondent has previously been found responsible for Prohibited Conduct are presumed to be relevant by the Hearing Officer(s) to the assignment of a sanction.
Possible disciplinary sanctions and remedies for students that may be imposed under this Policy include, but are not limited to, warning, restriction, work sanctions, educational sanctions, mandated assessments, disciplinary probation, housing contract revocation, disciplinary suspension, and expulsion.
Possible disciplinary sanctions and remedies for employees, volunteers, and contractors may include, but are not limited to, a letter of reprimand, instructions to draft and send a letter of apology, termination of a contract, demotion, termination of employment, or expulsion from College programs.
Sanctions may be issued individually or a combination of sanctions may be imposed.
In general:
- Any student who is determined to have committed non-consensual sexual intercourse may receive a sanction ranging from suspension to expulsion.
- Any student who is determined to have committed non-consensual sexual contact or any other prohibited form of conduct may receive a sanction ranging from warning to expulsion.
- The Hearing Officer(s) may deviate from the range of recommended sanctions, based upon a full consideration of the following factors:
- The respondent’s prior discipline history;
- How the College has sanctioned similar incidents in the past;
- The nature and violence of the conduct at issue;
- The impact of the conduct on the complainant;
- The impact of the conduct on the community, its members, or its property;
- Whether the respondent has accepted responsibility for their actions;
- Whether the respondent is reasonably likely to engage in the conduct in the future;
- The need to deter similar conduct by others; and/or
- Any other mitigating or aggravating circumstances, including the College’s values.
The Hearing Officer(s), in consultation with the Title IX Coordinator or Deputy, may also consider restorative justice outcomes that, taking into account the safety of the community as a whole, allow a respondent to learn about the origins of their behavior, their responsibility for this behavior, and how they can change this behavior.
TIMELINE
The Title IX Coordinator or Deputy will keep the parties informed of the status of the College’s resolution of the report throughout the process. The Investigators will strive to complete the formal investigation process within 120 days of the Notice of Investigation. The College will strive to schedule and conduct the hearing within a reasonably prompt time frame after the completion of the investigation.
APPEALS
Grounds for Appeal
The College will offer both parties an appeal from a determination regarding responsibility, and from an institution’s dismissal of a formal complaint or any allegations therein, on the following bases:
Procedural irregularity that affected the outcome;
New evidence that was not reasonably available at the time the determination regarding responsibility or dismissal was made, that could affect the outcome;
Title IX Personnel [The Title IX Coordinator, investigator(s), or decision- maker(s)] had a conflict of interest or bias for or against complainants or respondents generally or individual complainant or respondent that affected the outcome.
Dissatisfaction with the outcome of a hearing is not grounds for an appeal. An appeal must be based on of the above bases.
For all appeals, the College will:
- Notify the other party in writing when an appeal is filed and implement appeal procedures equally for both;
- Ensure that the decision-maker(s) for the appeal is not the same person as the decision-maker(s) that reached the determination regarding responsibility or dismissal, the investigator(s), or the Title IX Coordinator;
- Ensure that the decision-maker(s) for the appeal complies with the regulations;
- Give both parties a reasonable, equal opportunity to submit a written statement in support of, or challenging, the outcome;
- Issue a written decision describing the result of the appeal and the rationale for the result; and
- Provide the written decision simultaneously to both parties.
Either Party may file an appeal via email to the Title IX Coordinator. The appeal will be conducted in an impartial manner by an impartial decision-maker (the Appeal Officer). Appeal officers may be members of the College’s Executive Council or may be external Title IX professionals with specific training and experience, appointed for this purpose. Appeal officers must be unbiased and without any conflicts of interest.
Conflicts of Interest
A conflict of interest may arise if the Appeal Officer is related to, has a friendship with, or otherwise has had interactions with one of the parties or witnesses that may compromise the fairness or impartiality of the investigation. In the rare situation in which an actual or perceived conflict of interest arises from the involvement of an Appeal Officer, that conflict must be disclosed to all Parties and any potential or actual conflict must be appropriately addressed.
If a Party has reason to believe that an Appeal Officer for the case has a conflict of interest, the Party should notify the Title IX Coordinator or Deputy immediately via email and provide the reasons why the Party believes there is a conflict of interest. Likewise, an Appeal Officer must promptly disclose any potential conflict of interest the Appeal Officer might have in a particular case. The Title IX Coordinator or Deputy will review the information provided and make a determination regarding whether the Appeal Officer should be replaced with another Appeal Officer.
Submission of Appeal
Time to Submit an Appeal
Appeals must be submitted to the Title IX Coordinator or Deputy via email within five (5) business days of the date the Outcome was sent via email to the Parties. Upon receipt of an appeal, the Title IX Coordinator or Deputy will send a copy of the appeal to the non- appealing Party within one (1) business day of the Title IX Coordinator or Deputy’s receipt of the appeal. The non- appealing party will have three (3) business days to submit a response to the appeal to the Title IX Coordinator or Deputy.
In the event that an extenuating circumstance may warrant an extension, a request for an extension must be submitted to the Title IX Coordinator via email no later than the original deadline for the Appeal. Such requests will be evaluated on a case-by-case basis. The Title IX Coordinator or Deputy shall email the decision regarding the request for extension to both Parties. If a request for extension is granted to the appealing Party, the non-appealing Party will be provided the same amount of additional time to submit the Response to the Appeal. Appeals or responses submitted after the deadlines without an extension having been granted by the Title IX Coordinator or Deputy will be denied.
Submission of the Appeal to the Appeals Officer
The Title IX Coordinator or Deputy shall email a copy of the Outcome, the appeal and any response to the appeal to the designated Appeal Officer within one (1) business day of the receipt of the response or the date upon which the response was due, whichever is earlier. The Appeal Officer shall confirm receipt of this information via email to the Title IX Coordinator or Deputy. The Title IX Coordinator or Deputy will email a copy of the response to the appeal, if any, to the appealing Party.
Requirements for Appeal and Response to Appeal
The appeal shall consist of a plain, concise, and complete written statement outlining the grounds for appeal, all relevant information to substantiate the basis for the appeal (as outlined above), and appellant’s desired outcome. The appeal shall not exceed 10 double- spaced pages with a minimum 12- point font. Mere dissatisfaction with the Outcome is not a valid basis for appeal.
A response to an appeal shall consist of a plain, concise, and complete written statement outlining the reasons that the appeals should be denied, all relevant information to substantiate the basis for the response, and non-appealing Party’s desired outcome. The response shall not exceed 10 double-spaced pages with a minimum 12-point font.
If both Parties appeal, each party is permitted to file a response to the other Party’s appeal, and both appeals will be considered by the Appeal Officer in one proceeding.
Exclusion of Improper Information Submitted on Appeal
The Appeal Officer may exclude any information submitted by the appealing or non- appealing Party if it is not relevant or material to one of the specified grounds for appeal. If the Appeal Officer excludes information submitted on appeal, the Appeal Officer shall state the basis for exclusion of the information in the Appeal Officer’s written decision.
Burden of Proof
In any request for an appeal, the burden of proof lies with the appealing Party, as the original Outcome is presumed to have been decided reasonably and appropriately.
The Appeal Officer shall first consider whether the appeal is timely filed and if so, whether the appeal is based on one or more of the three grounds. If the Appeal Officer determines that the appeal is not timely or is not based on one of the permitted grounds, the appeal will be denied.
An appeal is not an opportunity for the Appeal Officer to substitute the Appeal Officer’s own judgment for that of the Hearing Officer(s) merely because the Appeal Officer disagrees with the Outcome. Appeal decisions are to be deferential to the original Hearing Officer(s), making changes to the finding only where there is clear error.
Outcome of Appeal
The Appeal Officer may affirm or alter the Outcome, depending on the basis of the requested appeal.
The Appeal Officer will render a written decision on the appeal (Appeal Decision) and send it to the Title IX Coordinator or Deputy within fifteen (15) business days from the date that the Title IX Coordinator or Deputy submits all of the appeal documents to the Appeal Officer. This time frame may be extended by the Title IX Coordinator or Deputy as necessary to ensure the integrity and completeness of the appeal process. The Title IX Coordinator will notify the Parties if additional time is required to complete the appeal process.
Appeal Decisions are final, unless the case is remanded. If the Appeal Officer remands the case, the Appeal Decision will state whether the Investigator(s) must issue a Revised Investigative Report and/or the Hearing Officer(s) must conduct a new hearing and/or issue a revised Outcome, as appropriate to the findings on appeal. Any additional investigation and revision of the Investigative Report and/or Outcome should be completed promptly as practicable. If the case is remanded, a Party may appeal only the portions of the outcome that were changed on remand.
The Title IX Coordinator will review the Appeal Decision for consistency with College policy and practice, and the College’s legal counsel will review the Appeal Decision for legal sufficiency.
After the legal sufficiency review is complete, the Title IX Coordinator or Deputy will email the Appeal Decision concurrently to each Party via their respective College-assigned e- mail accounts.
Sanctions during Appeal
Sanctions will be stayed pending the outcome of any appeal process. If a respondent is subject to an emergency removal or administrative leave prior to the conclusion of the Investigation and is suspended, expelled, or terminated as a result of the Investigation, the emergency removal or administrative leave will continue pending the outcome of any appeal.
RECORDS
The College will maintain, for seven years, records of:
- Each sexual harassment investigation, including any determination regarding responsibility and any audio or audiovisual recording or transcript required; any disciplinary sanctions imposed on the respondent; and any remedies provided to the complainant designed to restore or preserve equal access to the education program or activity
- Any appeal and the result therefrom
- Any informal resolution and the result therefrom
- All materials used to train Title IX Personnel [Title IX Coordinators, investigators, decision- makers, and any person who facilitates an informal resolution process]. The College will make these training materials publicly available on its website.
The College will create and maintain for seven years records of any actions, including any supportive measures, taken in response to a report or formal complaint of sexual harassment. In each instance, the College will document the basis for its conclusion that its response was not deliberately indifferent, and document that it has taken measures designed to restore or preserve equal access to its education program or activity. If the College does not provide a complainant with supportive measures, then it will document the reasons why such a response was not clearly unreasonable in light of the known circumstances. The documentation of certain bases or measures does not limit the College in the future from providing additional explanations or detailing additional measures taken.
These procedures are entirely administrative in nature and are not considered legal proceedings. Parties may not make audio or video recordings of interviews, meetings or any part of the proceedings.
For respondents found responsible for a violation of the Policy through the Formal Resolution process, the Title IX Coordinator will submit a copy of the Outcome and Sanctions to the Student Conduct Officer to be placed in the student’s disciplinary record; or the Director for Human Resources to be placed in an employee’s personnel file. Such records shall be used in reviewing any further conduct or issuing sanctions and shall remain a part of the respondent’s conduct record.
All records generated under the Title IX Policy Against Sexual Harassment and Procedures shall be retained by the College for seven (7) years following the conclusion or dismissal of a complaint or report.
THE FAMILY EDUCATION RIGHTS AND PRIVACY ACT
The Family Education Rights and Privacy Act (FERPA) is a federal privacy law that concerns student education records. Student conduct records, including student conduct records that are maintained in the course of a Prohibited Conduct proceeding, are education records under FERPA. Generally, FERPA prohibits disclosure of student conduct records, absent a student’s consent.
There are a number of exceptions, however, that may subject student conduct records to disclosure in the course of or in the aftermath of a Prohibited Conduct investigation:
Disclosure to Victim in Crime of Violence or Non-Forcible Sex Offense
FERPA permits disclosure of the outcome of a student conduct investigation to the victim of a crime of violence or non-forcible sex offense. Where the alleged Prohibited Conduct relates to a crime of violence or a non-forcible sex offense, the College will disclose the outcome of the hearing and any sanctions to the victim, regardless of whether or not the behavior was found to have violated College’s Policy against Sexual Harassment.
Disclosure to Others of Crime of Violence or Non-Forcible Sex Offense
FERPA permits disclosure of the outcome of a student conduct investigation to anyone if (1) the alleged Prohibited Conduct relates to a crime of violence or non-forcible sex offense;
(2) the respondent was found to have violated this Policy; (3) the alleged instance of Prohibited Conduct occurred after October 7, 1998; and (4) the names of non-party students, such as witnesses, have been redacted.
Transfer Students
FERPA permits disclosure of a student’s education records to officials of another institution of postsecondary education where the student seeks or intends to enroll, or where the student is already enrolled so long as the disclosure is for purposes related to the student’s enrollment or transfer.
Disclosure Where the College is a Party in Litigation
FERPA permits disclosure of education records when a student initiates legal action against the College and the education records are relevant to the College’s defense.
Subpoenas and Court Orders
FERPA permits disclosure of education records when the party seeking disclosure presents a lawfully issued subpoena or court order. Student conduct records are discoverable in criminal and civil litigation and must be disclosed in their entirety pursuant to a lawfully issued subpoena or court order.
FERPA Right to Inspect and Review
FERPA also gives students a limited right to inspect and review their own education records. Any document or recording maintained in a student conduct proceeding that is directly related to a student is an education record, subject to inspection and review upon request. Practically speaking, if a student who is a Party or witness in a Prohibited Conduct proceeding gives any written or recorded statement, this statement will be made available, to the extent required by law, and to the extent that it relates to any student who invokes the right to inspect and review the student’s education records.
Conflicts with the Policy and Procedures
With the exception of the College Bylaws, to the extent that the Policy or these Procedures conflict with any other College policy, procedure, handbook, faculty or employee bylaw, agreement, or process, the Policy and these Procedures shall prevail.
If a complainant alleges Prohibited Conduct along with alleged violations of other College policies and procedures, including but not limited to the Student Code of Conduct, Employee Handbook, Faculty Bylaws or Faculty Handbook, all allegations will be investigated and adjudicated in accordance with the Policy and these Procedures. The Title IX Coordinator or Deputy may pair an investigator without Title IX training with an investigator with Title IX training to investigate allegations that do not fall within the scope of the Policy.
The College provides the following safety tips for its community:
IF A PERSON SEES SOMETHING OR SOMEONE SUSPICIOUS, THE PERSON SHOULD SAY SOMETHING IMMEDIATELY
ON CAMPUS
- Don't walk alone; always walk in a group or with a friend. If a person does not have someone with whom to walk, contact the Office of Public Safety (240-895-4911) for an escort. Escorts are provided from dusk until dawn.
- Choose well-lighted paths and avoid shortcuts. If an area light is out, please report it to the Physical Plant (240-895-4287) or Public Safety (240-895-4911).
- Be Aware! If a person believes he/she is being followed, the person should occasionally look behind him/her and if possible, immediately use the 911 Shield mobile app, head for the nearest emergency blue light phone, lighted building, or group of people. See the Emergency Phone map.
IN THE RESIDENCE HALLS
- Never loan or give a room key or access card to anyone.
- Don't block open residence hall doors! It is dangerous to everyone in the building.
- Don't leave rooms open or unlocked or go to sleep with a door unlocked.
- Don’t leave windows unlocked when no one is present in the room.
- Establish consistent safety practices with roommates and suitemates by discussing these safety tips.
- Report lost keys or access card immediately. Public Safety has a lost and found and can be contacted at (240) 895-4911.
- Contact an RA or Residence Life Coordinator immediately if there is a belief that safety is being compromised in the residence.
BIKES
- Use bike racks on campus.
- Bikes locked to trees or light poles may be impounded by the Office of Public Safety.
- Record the serial number and a physical description (make, model, and color) of the bike. Keep the sales receipt.
- Register bikes with the Office of Public Safety at (240) 895-4911.
- Always lock bikes with a high-quality lock. U- Locks are recommended nationally.
- Lights, bags and cycling computers are easy to steal, so consider removing them when not in use.
- Ride smart and safely. Use signals, be aware of car doors and remember to announce oneself to pedestrians on campus.
PROTECT CARS
- Always Lock!
- Windows should always be rolled up completely.
- Don't leave valuable items in view. Put bags and boxes in the trunk.
- Don't ever leave a cell phone out!
- If a Parking Decal is stolen, report the theft to Public Safety at (240) 895-4911.
PROPERTY SAFETY
- Utilize the Office of Public Safety property registration program to register and record valuable property. Public Safety will mark property by engraving it with the owner’s driver’s license number and recording the serial number so it can be identified. If marked property is stolen, and recovered the description and identifying number can be used to return the property to the owner.
- When in the library, campus center, or academic buildings, do not leave any property unattended, even for a minute.
- In the locker room, always lock individual lockers. It is an easy way to prevent wallet theft.
The Office of Public Safety has launched the Seahawk Safe Mobile app powered by Campus Shield. The app has numerous features including:
- Emergency Text Alerts
- Weather Alerts
- School Closure Alerts
- One Touch emergency calling to Public Safety
- Submit a tip (with photos and videos)
- Friend Watch
- Notifications from Public Safety
- Interactive Campus Map
- Campus safety and security policy and resource information
To sign up follow these simple steps (you only have to do this once)
- Step one: Download “campusshield” from Google Play or the Apple App Store
- Step two: Enter your college email address
- Step three: Select whether you are faculty/staff or a student
- Step four: Fill out registration
For help with Campus Shield, please contact the Office of Public Safety at 240-895-4511 or x4511.
Blue light emergency phones provide an immediate, direct connection to the dispatcher at the Office of Public Safety. Members of the College community can use these devices to call for emergency assistance, report crimes in progress, and advise Public Safety of suspicious or potentially hazardous situations or persons. Blue light phones are checked by Public Safety on a regular basis.
These phones can be found at the following locations on campus. See map at http://www.smcm.edu/publicsafety/campus-safety/blue- light-phones
- Front of Waring Commons
- Front of Lewis Quad
- Townhouse Greens
- Front of Parking Lot R
- Rear of Parking Lot R
- Parking Lot S
- Front of Parking Lot T
- Middle of Parking Lot T
- Rear of Parking Lot T
- Front of Parking Lot Z
- Middle of Parking Lot Z
- Front of Schaefer Hall by Greenhouse
- Pathway between Queen Anne and Wellness Center
- Pathway by St. Johns Pond
- Queen Anne Hall near Rt 5
- River Center
- Mary’s Hall
- Middle of Parking Lot K
- Rear of Parking Lot K
In accordance with the Clery Act, the following is the list of the definitions and classifications of crimes that are used by the College for purposes of this report:
Criminal Homicide-Manslaughter by Negligence: The killing of another person through gross negligence.
Manslaughter by Negligence: The willful (non- negligent) killing of one human being by another.
Rape – The penetration, no matter how slight, of the vagina or anus with any body part or object, or oral penetration by a sex organ of another person, without the consent of the victim.
Fondling – The touching of the private body parts of another person for the purpose of sexual gratification, without the consent of the victim, including instances where the victim is incapable of giving consent because of his/her age or because of his/her temporary or permanent mental incapacity.
Incest – Non-forcible sexual intercourse between persons who are related to each other within the degrees where marriage is prohibited by law.
Statutory Rape – Non-forcible sexual intercourse with a person who is under the statutory age of consent. Consent means actually agreeing to the act of intercourse, rather than merely submitting as a result of force or threat or force.
Robbery: The taking or attempting to take anything of value from the care, custody or control of a person or persons by force or threat of force or violence and/or by putting the victim in fear.
Aggravated Assault: An unlawful attack by one person on another for the purpose of inflicting severe or aggravated bodily injury. This type of assault usually is accompanied by the use of a weapon or by means likely to produce death or great bodily harm.
Arson: Any willful or malicious burning or attempt to burn, with or without intent to defraud, a dwelling house, public building, motor vehicle or aircraft, personal property of another, etc.
Burglary: The unlawful entry of a structure to commit a felony or a theft.
Motor Vehicle Theft: The theft or attempted theft of a motor vehicle.
Liquor Law Violations: Violation of laws or ordinances prohibiting the manufacture, sale, transporting, furnishing, possessing of intoxicating liquor; maintaining unlawful drinking places; bootlegging; operating a still; furnishing liquor to a minor or intemperate person; using a vehicle for illegal transportation of liquor; drinking on a train or public conveyance; and all attempts to commit any of the above.
Drug Law Violations: Violations of state and local laws relating to the unlawful possession, sale, use, growing, manufacturing and making of narcotic drugs. Substances include opium or cocaine and their derivatives (morphine, heroin, codeine); marijuana; synthetic narcotics (demerol, methadone) and dangerous non-narcotic drugs (barbiturates, benzedrine).
Weapon Law Violation: The violation of laws or ordinances dealing with weapon offenses, regulatory in nature, such as: manufacture, sale or possession of deadly weapons; carrying deadly weapons, concealed or openly; using, manufacturing, etc., silencers; furnishing deadly weapons.
Domestic Violence: A felony or misdemeanor crime of violence committed:
- By a current or former spouse or intimate partner of the victim.
- By a person with whom the victim shares a child in common.
- By a person who is cohabitating with or has cohabited with the victim as a spouse or intimate partner.
- By a person similarly situated to a spouse of the victim under the domestic or family violence laws of the jurisdiction in which the crime of violence occurred.
- By any other person against an adult or youth victim who is protected from that person’s acts under the domestic or family violence laws of the jurisdiction in which the crime of violence occurred.
Dating Violence: Violence committed by a person who is or has been in a social relationship of a romantic or intimate nature with the victim. Note: Maryland has no Dating Violence law.
Stalking: Engaging in a course of conduct directed at a specific person that would cause a reasonable person to:
- Fear for the person’s safety or the safety of others. or
- Suffer substantial emotional distress.
Hate Crimes: Includes the above crimes with the additional crimes of vandalism, theft, simple assault, or intimidation where there is evidence victims were intentionally selected because of their actual or perceived race, gender, gender identity, religion, sexual orientation, ethnicity, national origin or disability.
HATE CRIME REPORTING
2024
- No hate crimes were reported to St. Mary’s College in 2024.
2023
- No hate crimes were reported to St. Mary’s College in 2023.
2022:
- No hate crimes were reported to St. Mary’s College in 2022.
HAZING REPORTING
2024
- No reports of hazing were reported to St. Mary’s College in 2024.
REPORTING ENTITIES
As required by the Jeanne Clery Campus Safety Act, St. Mary’s College of Maryland’s Office of Public Safety completed the annual report, which includes reported crime stats obtained from the following entities:
- Mary’s College of Maryland Office of Public Safety,
- Office of Student Conduct,
- Office of Title IX Compliance,
- Campus Security Authorities,
- Human Resources,
- Mary’s County Sheriff’s Office,
- Leonardtown State Police Barracks,
- Department of Natural Resources Police,
- United States Coast Guard,
- Maryland Fire Marshall’s Office
ST. MARY’S COLLEGE OF MARYLAND FIRE SAFETY POLICIES
St. Mary’s adheres to fire codes as noted in the NFPA Inspection Manual (seventh edition). As such, personal property cannot be left in corridors as “All paths of travel from any part of the building must allow the occupants to travel safely without obstructions to the exits. Corridors and passageways must be at least 44 inches wide and completely clear of obstructions.” (NFPA, p. 351).
POLICY ON PORTABLE APPLIANCES
Residents are not permitted to install outdoor antennas or other devices on the exterior of any residence hall, suite, apartment, or townhouse or in adjacent trees or shrubbery. Under no circumstances may the electrical wiring in a room be altered. Installation or alteration of electrical equipment is prohibited.
The following are appliances which may be operated in student rooms:
- clock
- computer and printer
- curling iron
- electric blanket (with heat control)
- fan
- hair dryer
- hot pot (must have closed heating element)
- iron
- lamp (except halogen*)
- refrigerator (less than 5 cubic feet capacity, Max 33” tall, only one per room)
- shaver
- stereo equipment
- television
- Streaming/Gaming Devices
- Small Microwave (one per room)
* Halogen lamps have been responsible for a number of housing fires across the country. Halogen bulbs burn three times as hot as incandescent bulbs. They are not permitted at SMCM.
Students are permitted to have one microwave oven per suite, apartment, townhouse unit., or dorm room.
Electrical appliances not included on this list are not allowed and may be confiscated and stored at the student’s expense. No appliances may have an exposed heating element. All appliances must be UL-approved.
POLICY ON SMOKING
St. Mary’s College of Maryland establishes the following policy regarding the smoking and use of tobacco products. The Governor’s Executive Order (01.01.1992.20) establishes guidelines upon which the St. Mary’s policy is based.
POLICY
Buildings
- Smoking or carrying any lighted tobacco product is prohibited in all state buildings and facilities.
State Vehicles
- Smoking is prohibited in all state vehicles.
Residence Halls, Suites, Apartments, and Townhouses
- Smoking is prohibited in all areas of all residential facilities.
EFORCEMENT
Responsibility
All employees and students share in the responsibility for adhering to and enforcing this policy and have the responsibility for bringing it to the attention of visitors.
Conflict resolution
The Office of Human Resources is responsible for resolving conflicts and investigating claims of employees. The Director of Student Conduct is responsible for resolving conflicts and investigating claims of students.
Disciplinary procedures
For an employee found in noncompliance, the following shall result:
- For the first offense: be directed to Human Resources for counseling on the provisions of the Executive Order (verbal warning).
- For the second offense: be given a written reprimand.
- For a third offense: receive a suspension.
- For a fourth or subsequent offense: may result in termination of employment.
For a student found in noncompliance, an incident report may be forwarded to the Director of Student Conduct for adjudication.
POLICY ON CANDLES AND OPEN FLAMES
Candles and incense are not permitted due to the danger of open flame and unattended heat sources.
FIRE SAFETY PLAN
EVACUATION OF RESIDENTIAL FACILITIES
Students should gather in the designated location as follows:
Caroline Hall: Students should move to the area in front of Glendening Hall. In the event of bad weather or extended evacuation, students will be permitted to enter Montgomery Hall.
Dorchester Hall: Students should move to the green area/hill next to Montgomery Hall Dance Studio. In the event of bad weather or extended evacuation, students will be permitted to enter Montgomery Hall.
Prince George Hall: Students should move to the rear area of Dorchester Hall. In the event of bad weather or extended evacuation, students will be permitted to enter Montgomery Hall.
Lewis Quadrangle: Students should move toward the grass areas around DPC. In the event of bad weather or an extended evacuation, students will be permitted to enter DPC.
Queen Anne Hall: Students should move toward the wooded area behind the dumpster located in the front of the building (parking lot). In the event of bad weather or an extended evacuation, students will be permitted to enter Montgomery Hall.
Townhouses - Harrington, Boone, Homer Dodge, Maggie Dodge, Morsell, and Trueschler: Students should exit toward the Townhouse Green and then proceed to the patio area of DPC. In the event of bad weather or an extended evacuation, students will be permitted to enter DPC.
Townhouses - South Crescent and North Crescent: Students should move toward the grass areas around DPC. In the event of bad weather or an extended evacuation, students will be permitted to enter DPC.
Waring Commons: Students should move toward Lewis Quad. In the event of bad weather or an extended evacuation, students will be permitted to enter the LQ rec. room and DPC.
When evacuating a Residence Hall Students should not block the roadway and should be alert for approaching Emergency Vehicles.
IN CASE OF AN ACTUAL FIRE IN ANY RESIDENTIAL, ACADEMIC, OR ADMINISTRATIVE BUILDING
Pull the nearest fire alarm.
Evacuate the building immediately and move specified evacuation spaces to locations indicated by College officials.
Call 911 or 9-911 from a campus phone (County Control Center) and report the location of the fire.
Call 240-895-4911 (Public Safety) and report the location of the fire.
Assist disabled individuals, if possible and safe to do so.
Wait to return to the building until the alarm has been silenced and Public Safety or other emergency personnel at the scene have given an official “all clear.”
FIRE SAFETY EDUCATION
New Residence Life staff receives at least two hours of fire safety training each semester. They receive information on fire safety procedures, fire prevention, Health and Safety Inspections, and staff learns how to use a fire extinguisher. In addition, all staff are trained on their building evacuation plan.
Resident students are trained before classes begin on evacuation procedures, fire safety, Health and Safety inspections.
Prior to each break (Thanksgiving, winter, spring), Residence Life staff provide their residents with Health and Safety Inspection information.
PLANS FOR FUTURE IMPROVEMENTS OF RESIDENTIAL FIRE SAFETY EQUIPMENT
There are plans to upgrade the fire safety system within Dorchester Hall.
RESIDENTIAL FIRE SAFETY EQUIPMENT
RESIDENTIAL FIRE SAFETY STATISTICS




